The t-test functions are:
Syntax
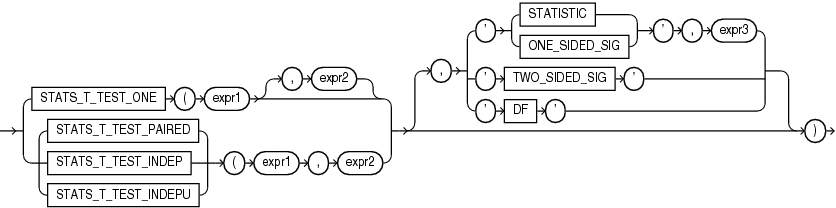
stats_t_test::=
Purpose
The t-test measures the significance of a difference of means. You can use it to compare the means of two groups or the means of one group with a constant. Each t-test function takes two expression arguments, although the second expression is optional for the one-sample function (STATS_T_TEST_ONE
). Each t-test function takes an optional third argument, which lets you specify the meaning of the NUMBER
value returned by the function, as shown in Table 7-9. For this argument, you can specify a text literal, or a bind variable or expression that evaluates to a constant character value. If you omit the third argument, then the default is 'TWO_SIDED_SIG'
.
See Also:
Appendix C in Oracle Database Globalization Support Guide for the collation determination rules for the STATS_T_TEST_*
functions
Table 7-9 STATS_T_TEST_* Return Values
Argument | Return Value Meaning |
---|---|
|
The observed value of t |
|
Degree of freedom |
|
One-tailed significance of t |
|
Two-tailed significance of t |
The two independent STATS_T_TEST_
* functions can take a fourth argument (expr3
) if the third argument is specified as 'STATISTIC'
or 'ONE_SIDED_SIG'
. In this case, expr3
indicates which value of expr1
is the high value, or the value whose rejection region is the upper tail.
The significance of the observed value of t is the probability that the value of t would have been obtained by chance—a number between 0 and 1. The smaller the value, the more significant the difference between the means. One-sided significance is always respect to the upper tail. For one-sample and paired t-test, the high value is the first expression. For independent t-test, the high value is the one specified by expr3
.
The degree of freedom depends on the type of t-test that resulted in the observed value of t. For example, for a one-sample t-test (STATS_T_TEST_ONE
), the degree of freedom is the number of observations in the sample minus 1.
In the STATS_T_TEST_ONE
function, expr1
is the sample and expr2
is the constant mean against which the sample mean is compared. For this t-test only, expr2
is optional; the constant mean defaults to 0. This function obtains the value of t by dividing the difference between the sample mean and the known mean by the standard error of the mean (rather than the standard error of the difference of the means, as for STATS_T_TEST_PAIRED
).
STATS_T_TEST_ONE Example
The following example determines the significance of the difference between the average list price and the constant value 60:
SELECT AVG(prod_list_price) group_mean, STATS_T_TEST_ONE(prod_list_price, 60, 'STATISTIC') t_observed, STATS_T_TEST_ONE(prod_list_price, 60) two_sided_p_value FROM sh.products; GROUP_MEAN T_OBSERVED TWO_SIDED_P_VALUE ---------- ---------- ----------------- 139.545556 2.32107746 .023158537
In the STATS_T_TEST_PAIRED
function, expr1
and expr2
are the two samples whose means are being compared. This function obtains the value of t by dividing the difference between the sample means by the standard error of the difference of the means (rather than the standard error of the mean, as for STATS_T_TEST_ONE
).
In the STATS_T_TEST_INDEP
and STATS_T_TEST_INDEPU
functions, expr1
is the grouping column and expr2
is the sample of values. The pooled variances version (STATS_T_TEST_INDEP
) tests whether the means are the same or different for two distributions that have similar variances. The unpooled variances version (STATS_T_TEST_INDEPU
) tests whether the means are the same or different even if the two distributions are known to have significantly different variances.
Before using these functions, it is advisable to determine whether the variances of the samples are significantly different. If they are, then the data may come from distributions with different shapes, and the difference of the means may not be very useful. You can perform an f-test to determine the difference of the variances. If they are not significantly different, use STATS_T_TEST_INDEP
. If they are significantly different, use STATS_T_TEST_INDEPU
. Refer to STATS_F_TEST for information on performing an f-test.
STATS_T_TEST_INDEP Example
The following example determines the significance of the difference between the average sales to men and women where the distributions are assumed to have similar (pooled) variances:
SELECT SUBSTR(cust_income_level, 1, 22) income_level, AVG(DECODE(cust_gender, 'M', amount_sold, null)) sold_to_men, AVG(DECODE(cust_gender, 'F', amount_sold, null)) sold_to_women, STATS_T_TEST_INDEP(cust_gender, amount_sold, 'STATISTIC', 'F') t_observed, STATS_T_TEST_INDEP(cust_gender, amount_sold) two_sided_p_value FROM sh.customers c, sh.sales s WHERE c.cust_id = s.cust_id GROUP BY ROLLUP(cust_income_level) ORDER BY income_level, sold_to_men, sold_to_women, t_observed; INCOME_LEVEL SOLD_TO_MEN SOLD_TO_WOMEN T_OBSERVED TWO_SIDED_P_VALUE ---------------------- ----------- ------------- ---------- ----------------- A: Below 30,000 105.28349 99.4281447 -1.9880629 .046811482 B: 30,000 - 49,999 102.59651 109.829642 3.04330875 .002341053 C: 50,000 - 69,999 105.627588 110.127931 2.36148671 .018204221 D: 70,000 - 89,999 106.630299 110.47287 2.28496443 .022316997 E: 90,000 - 109,999 103.396741 101.610416 -1.2544577 .209677823 F: 110,000 - 129,999 106.76476 105.981312 -.60444998 .545545304 G: 130,000 - 149,999 108.877532 107.31377 -.85298245 .393671218 H: 150,000 - 169,999 110.987258 107.152191 -1.9062363 .056622983 I: 170,000 - 189,999 102.808238 107.43556 2.18477851 .028908566 J: 190,000 - 249,999 108.040564 115.343356 2.58313425 .009794516 K: 250,000 - 299,999 112.377993 108.196097 -1.4107871 .158316973 L: 300,000 and above 120.970235 112.216342 -2.0642868 .039003862 107.121845 113.80441 .686144393 .492670059 106.663769 107.276386 1.08013499 .280082357 14 rows selected.
STATS_T_TEST_INDEPU Example
The following example determines the significance of the difference between the average sales to men and women where the distributions are known to have significantly different (unpooled) variances:
SELECT SUBSTR(cust_income_level, 1, 22) income_level, AVG(DECODE(cust_gender, 'M', amount_sold, null)) sold_to_men, AVG(DECODE(cust_gender, 'F', amount_sold, null)) sold_to_women, STATS_T_TEST_INDEPU(cust_gender, amount_sold, 'STATISTIC', 'F') t_observed, STATS_T_TEST_INDEPU(cust_gender, amount_sold) two_sided_p_value FROM sh.customers c, sh.sales s WHERE c.cust_id = s.cust_id GROUP BY ROLLUP(cust_income_level) ORDER BY income_level, sold_to_men, sold_to_women, t_observed; INCOME_LEVEL SOLD_TO_MEN SOLD_TO_WOMEN T_OBSERVED TWO_SIDED_P_VALUE ---------------------- ----------- ------------- ---------- ----------------- A: Below 30,000 105.28349 99.4281447 -2.0542592 .039964704 B: 30,000 - 49,999 102.59651 109.829642 2.96922332 .002987742 C: 50,000 - 69,999 105.627588 110.127931 2.3496854 .018792277 D: 70,000 - 89,999 106.630299 110.47287 2.26839281 .023307831 E: 90,000 - 109,999 103.396741 101.610416 -1.2603509 .207545662 F: 110,000 - 129,999 106.76476 105.981312 -.60580011 .544648553 G: 130,000 - 149,999 108.877532 107.31377 -.85219781 .394107755 H: 150,000 - 169,999 110.987258 107.152191 -1.9451486 .051762624 I: 170,000 - 189,999 102.808238 107.43556 2.14966921 .031587875 J: 190,000 - 249,999 108.040564 115.343356 2.54749867 .010854966 K: 250,000 - 299,999 112.377993 108.196097 -1.4115514 .158091676 L: 300,000 and above 120.970235 112.216342 -2.0726194 .038225611 107.121845 113.80441 .689462437 .490595765 106.663769 107.276386 1.07853782 .280794207 14 rows selected.