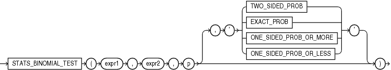
Syntax
Purpose
STATS_BINOMIAL_TEST
is an exact probability test used for dichotomous variables, where only two possible values exist. It tests the difference between a sample proportion and a given proportion. The sample size in such tests is usually small.
This function takes three required arguments: expr1
is the sample being examined, expr2
contains the values for which the proportion is expected to be, and p
is a proportion to test against. The optional fourth argument lets you specify the meaning of the NUMBER
value returned by this function, as shown in Table 7-3. For this argument, you can specify a text literal, or a bind variable or expression that evaluates to a constant character value. If you omit the fourth argument, then the default is 'TWO_SIDED_PROB'
.
See Also:
Appendix C in Oracle Database Globalization Support Guide for the collation determination rules for STATS_BINOMIAL_TEST
Table 7-3 STATS_BINOMIAL Return Values
Argument | Return Value Meaning |
---|---|
|
The probability that the given population proportion, |
|
The probability that the given population proportion, |
|
The probability that the given population proportion, |
|
The probability that the given population proportion, |
'EXACT_PROB'
gives the probability of getting exactly proportion p
. In cases where you want to test whether the proportion found in the sample is significantly different from a 50-50 split, p
would normally be 0.50. If you want to test only whether the proportion is different, then use the return value 'TWO_SIDED_PROB'
. If your test is whether the proportion is more than the value of expr2
, then use the return value 'ONE_SIDED_PROB_OR_MORE'
. If the test is to determine whether the proportion of expr2
is less, then use the return value 'ONE_SIDED_PROB_OR_LESS'
.
STATS_BINOMIAL_TEST Example
The following example determines the probability that reality exactly matches the number of men observed under the assumption that 69% of the population is composed of men:
SELECT AVG(DECODE(cust_gender, 'M', 1, 0)) real_proportion, STATS_BINOMIAL_TEST (cust_gender, 'M', 0.68, 'EXACT_PROB') exact, STATS_BINOMIAL_TEST (cust_gender, 'M', 0.68, 'ONE_SIDED_PROB_OR_LESS') prob_or_less FROM sh.customers;