Purpose
Use the CREATE
TABLE
statement to create one of the following types of tables:
A relational table, which is the basic structure to hold user data.
An object table, which is a table that uses an object type for a column definition. An object table is explicitly defined to hold object instances of a particular type.
You can also create an object type and then use it in a column when creating a relational table.
Tables are created with no data unless a subquery is specified. You can add rows to a table with the INSERT
statement. After creating a table, you can define additional columns, partitions, and integrity constraints with the ADD
clause of the ALTER
TABLE
statement. You can change the definition of an existing column or partition with the MODIFY
clause of the ALTER
TABLE
statement.
See Also:
Oracle Database Administrator's Guide and CREATE TYPE for more information about creating objects
ALTER TABLE and DROP TABLE for information on modifying and dropping tables
Prerequisites
To create a relational table in your own schema, you must have the CREATE
TABLE
system privilege. To create a table in another user's schema, you must have the CREATE
ANY
TABLE
system privilege. Also, the owner of the schema to contain the table must have either space quota on the tablespace to contain the table or the UNLIMITED
TABLESPACE
system privilege.
In addition to these table privileges, to create an object table or a relational table with an object type column, the owner of the table must have the EXECUTE
object privilege in order to access all types referenced by the table, or you must have the EXECUTE
ANY
TYPE
system privilege. These privileges must be granted explicitly and not acquired through a role.
Additionally, if the table owner intends to grant access to the table to other users, then the owner must have been granted the EXECUTE
object privilege on the referenced types WITH
GRANT
OPTION
, or have the EXECUTE
ANY
TYPE
system privilege WITH
ADMIN
OPTION
. Without these privileges, the table owner has insufficient privileges to grant access to the table to other users.
To enable a unique or primary key constraint, you must have the privileges necessary to create an index on the table. You need these privileges because Oracle Database creates an index on the columns of the unique or primary key in the schema containing the table.
To specify an edition in the evaluation_edition_clause
or the unusable_editions_clause
, you must have the USE
privilege on the edition.
To specify the zonemap_clause
, you must have the permissions necessary to create a zone map. Refer to the "Prerequisites" section in the documentation on CREATE
MATERIALIZED
ZONEMAP
.
To create an external table, you must have the required read and write operating system privileges on the appropriate operating system directories. You must have the READ
object privilege on the database directory object corresponding to the operating system directory in which the external data resides. You must also have the WRITE
object privilege on the database directory in which the files will reside if you specify a log file or bad file in the opaque_format_spec
or if you unload data into an external table from a database table by specifying the AS
subquery
clause.
To create an XMLType table in a different database schema from your own, you must have not only privilege CREATE
ANY
TABLE
but also privilege CREATE
ANY
INDEX
. This is because a unique index is created on column OBJECT_ID
when you create the table. Column OBJECT_ID
stores a system-generated object identifier.
See Also:
Oracle Database Administrator's Guide for more information about the privileges required to create tables using types
Syntax
create_table::=
relational_table::=
Note:
Each of the clauses following the table name is optional for any given relational table. However, for every table you must at least specify either column names and data types using the relational_properties
clause or an AS
subquery
clause using the table_properties
clause.
(relational_properties::=, physical_properties::=, table_properties::=)
object_table::=
(object_table_substitution::=, object_properties::=, oid_clause::=, oid_index_clause::=, physical_properties::=, table_properties::=)
XMLType_table::=
(XMLType_storage::=, XMLSchema_spec::=, XMLType_virtual_columns::=, oid_clause::=, oid_index_clause::=, physical_properties::=, table_properties::=)
relational_properties::=
Note:
You can specify these clauses in any order with the following exception: You must specify at least one column_definition
or virtual_column_definition
before you specify period_definition
. You can specify period_definition
only once.
(column_definition::=, virtual_column_definition::=, period_definition::=, constraint::=, supplemental_logging_props::=)
column_definition::=
identity_clause::=
identity_options::=
virtual_column_definition::=
(evaluation_edition_clause::=, unusable_editions_clause::=, constraint::=)
evaluation_edition_clause::=
unusable_editions_clause::=
period_definition::=
encryption_spec::=
object_table_substitution::=
object_properties::=
oid_clause::=
oid_index_clause::=
physical_properties::=
(deferred_segment_creation::=, segment_attributes_clause::=, table_compression::=, inmemory_table_clause::=, ilm_clause::=, heap_org_table_clause::=, index_org_table_clause::=, external_table_clause::=)
deferred_segment_creation::=
segment_attributes_clause::=
physical_attributes_clause::=
table_compression::=
inmemory_table_clause::=
inmemory_attributes::=
(inmemory_memcompress::=, inmemory_priority::=, inmemory_distribute::=, inmemory_duplicate::=)
inmemory_memcompress::=
inmemory_priority::=
inmemory_distribute::=
inmemory_duplicate::=
inmemory_column_clause::=
ilm_clause::=
ilm_policy_clause::=
(ilm_compression_policy::=, ilm_tiering_policy::=, ilm_inmemory_policy::=)
ilm_compression_policy::=
ilm_inmemory_policy::=
ilm_time_period::=
table_properties::=
(column_properties::=, read_only_clause::=, indexing_clause::=, table_partitioning_clauses::=, attribute_clustering_clause::=, parallel_clause::=, enable_disable_clause::=, row_movement_clause::=, flashback_archive_clause::=, subquery::=)
column_properties::=
(object_type_col_properties::=, nested_table_col_properties::=, varray_col_properties::=, LOB_storage_clause::=, LOB_partition_storage::=, XMLType_column_properties::=)
object_type_col_properties::=
substitutable_column_clause::=
nested_table_col_properties::=
(substitutable_column_clause::=, object_properties::=, physical_properties::=, column_properties::=)
varray_storage_clause::=
LOB_storage_parameters::=
LOB_parameters::=
(LOB_deduplicate_clause::=, LOB_compression_clause::=, encryption_spec::=, logging_clause::=)
Note:
Several of the LOB parameters are no longer needed if you are using SecureFiles for LOB storage. Refer to LOB_storage_parameters for more information.
LOB_retention_clause::=
LOB_deduplicate_clause::=
LOB_compression_clause::=
logging_clause::=
LOB_partition_storage::=
(LOB_storage_clause::=, varray_col_properties::=, LOB_partitioning_storage::=)
LOB_partitioning_storage::=
XMLType_column_properties::=
XMLSchema_spec::=
XMLType_virtual_columns::=
flashback_archive_clause::=
heap_org_table_clause::=
(table_compression::=, inmemory_table_clause::=, ilm_clause::=)
index_org_table_clause::=
(mapping_table_clauses::=, prefix_compression::=, index_org_overflow_clause::=)
mapping_table_clauses::=
index_compression::=
prefix_compression::=
advanced_index_compression::=
index_org_overflow_clause::=
supplemental_logging_props::=
supplemental_log_grp_clause::=
supplemental_id_key_clause::=
external_table_clause::=
external_table_data_props::=
(opaque_format_spec
: This clause specifies all access parameters for the ORACLE_LOADER
, ORACLE_DATAPUMP
, ORACLE_HDFS
, and ORACLE_HIVE
access drivers. See Oracle Database Utilities for descriptions of these parameters.)
read_only_clause::=
indexing_clause::=
table_partitioning_clauses::=
(range_partitions::=, list_partitions::=, hash_partitions::=, composite_range_partitions::=, composite_list_partitions::= composite_hash_partitions::=, reference_partitioning::=, system_partitioning::=, consistent_hash_partitions::=, consistent_hash_with_subpartitions::=, partitionset_clauses::=)
range_partitions::=
(range_values_clause::=, table_partition_description::=, external_part_subpart_data_props::=)
external_part_subpart_data_props::=
individual_hash_partitions::=
(read_only_clause::=, indexing_clause::=, partitioning_storage_clause::=)
hash_partitions_by_quantity::=
list_partitions::=
(list_values_clause::=, table_partition_description::=, external_part_subpart_data_props::=)
composite_range_partitions::=
(subpartition_by_range::=. subpartition_by_list::=, subpartition_by_hash::=, range_partition_desc::=)
composite_hash_partitions::=
(subpartition_by_range::=, subpartition_by_list::=, subpartition_by_hash::=, individual_hash_partitions::=, hash_partitions_by_quantity::=)
composite_list_partitions::=
(subpartition_by_range::=. subpartition_by_list::=, subpartition_by_hash::=, list_partition_desc::=)
reference_partition_desc::=
system_partitioning::=
consistent_hash_partitions::=
consistent_hash_with_subpartitions::=
partitionset_clauses::=
range_partitionset_clause::=
range_partitionset_desc::=
list_partitionset_clause::=
list_partitionset_desc::=
range_partition_desc::=
(range_values_clause::=, table_partition_description::=, range_subpartition_desc::=, list_subpartition_desc::=, individual_hash_subparts::=, hash_subparts_by_quantity::=)
list_partition_desc::=
(list_values_clause::=, table_partition_description::=, range_subpartition_desc::=, list_subpartition_desc::=, individual_hash_subparts::=, hash_subparts_by_quantity::=)
subpartition_template::=
(range_subpartition_desc::=, list_subpartition_desc::=, individual_hash_subparts::=, hash_subparts_by_quantity::=)
subpartition_by_range::=
subpartition_by_list::=
range_subpartition_desc::=
(range_values_clause::=, read_only_clause::=, indexing_clause::=, partitioning_storage_clause::=, external_part_subpart_data_props::=)
list_subpartition_desc::=
(list_values_clause::=, read_only_clause::=, indexing_clause::=, partitioning_storage_clause::=, external_part_subpart_data_props::=)
individual_hash_subparts::=
(read_only_clause::=, indexing_clause::=, partitioning_storage_clause::=)
hash_subparts_by_quantity::=
range_values_clause::=
list_values::=
table_partition_description::=
(deferred_segment_creation::=, read_only_clause::=, indexing_clause::=, segment_attributes_clause::=, table_compression::=, prefix_compression::=, inmemory_clause::=, segment_attributes_clause::=, LOB_storage_clause::=, varray_col_properties::=, nested_table_col_properties::=)
partitioning_storage_clause::=
(table_compression::=, index_compression::=, inmemory_clause::=, LOB_partitioning_storage::=)
inmemory_clause::=
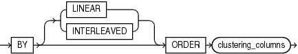
attribute_clustering_clause::=
(clustering_join::=, cluster_clause::=, clustering_when::=, zonemap_clause::=)
clustering_join::=
cluster_clause::=
clustering_columns::=
clustering_column_group::=
clustering_when::=
zonemap_clause::=
enable_disable_clause::=
(using_index_clause::=, exceptions_clause
not supported in CREATE
TABLE
statements)
using_index_clause::=
index_properties::=
(global_partitioned_index::=, local_partitioned_index::=—part of CREATE
INDEX
, index_attributes::=, domain_index_clause
and XMLIndex_clause
: not supported in using_index_clause
)
index_attributes::=
(physical_attributes_clause::=, logging_clause::=, index_compression::=, partial_index_clause
and parallel_clause
: not supported in using_index_clause
)
Semantics
GLOBAL TEMPORARY
Specify GLOBAL
TEMPORARY
to indicate that the table is temporary and that its definition is visible to all sessions with appropriate privileges. The data in a temporary table is visible only to the session that inserts the data into the table.
When you first create a temporary table, its table metadata is stored in the data dictionary, but no space is allocated for table data. Space is allocated for the table segment at the time of the first DML operation on the table. The temporary table definition persists in the same way as the definitions of regular tables, but the table segment and any data the table contains are either session-specific or transaction-specific data. You specify whether the table segment and data are session- or transaction-specific with the ON COMMIT keywords.
You can perform DDL operations (such as ALTER
TABLE
, DROP
TABLE
, CREATE
INDEX
) on a temporary table only when no session is bound to it. A session becomes bound to a temporary table by performing an INSERT
operation on the table. A session becomes unbound to the temporary table by issuing a TRUNCATE
statement or at session termination, or, for a transaction-specific temporary table, by issuing a COMMIT
or ROLLBACK
statement.
See Also:
Oracle Database Concepts for information on temporary tables and "Creating a Table: Temporary Table Example"
Restrictions on Temporary Tables
Temporary tables are subject to the following restrictions:
Temporary tables cannot be partitioned, clustered, or index organized.
You cannot specify any foreign key constraints on temporary tables.
Temporary tables cannot contain columns of nested table.
You cannot specify the following clauses of the LOB_storage_clause
: TABLESPACE
, storage_clause
, or logging_clause
.
Parallel UPDATE
, DELETE
and MERGE
are not supported for temporary tables.
The only part of the segment_attributes_clause
you can specify for a temporary table is TABLESPACE
, which allows you to specify a single temporary tablespace.
Distributed transactions are not supported for temporary tables.
A temporary table cannot contain INVISIBLE
columns.
SHARDED
Specify SHARDED
to create a sharded table.
This clause is valid only if you are using Oracle Sharding, which is a data tier architecture in which data is horizontally partitioned across independent databases. Each database in such configuration is called a shard. All of the shards together make up a single logical database, which is referred to as a sharded database (SDB). Horizontal partitioning involves splitting a table across shards so that each shard contains the table with the same columns but a different subset of rows. A table split up in this manner is called a sharded table.
When you create a sharded table, you must specify a tablespace set in which to create the table. There is no default tablespace set for sharded tables. See CREATE TABLESPACE SET for more information.
Oracle Sharding is based on the Oracle Partitioning feature. Therefore, a sharded table must be a partitioned or composite-partitioned table. When creating a sharded table, you must specify one of the table_partitioning_clauses
. See table_partitioning_clauses for the full semantics of these clauses.
Restrictions on Sharded Tables
The following restrictions apply to sharded tables:
A sharded table cannot be a temporary table or an index-organized table.
A sharded table cannot contain a nested table column or an identity column.
You cannot specify a tablespace for a sharded table with the TABLESPACE
clause. You must specify a tablespace set with the TABLESPACE
SET
clause.
A primary key constraint defined on a sharded table must contain the sharding column(s). A foreign key constraint on a column of a sharded table referencing a duplicated table column is not supported.
System partitioning and interval-range partitioning are not supported for sharded tables.
You cannot specify a virtual column in a sharded table in the PARTITION
BY
or PARTITIONSET
BY
clauses.
DUPLICATED
This clause is valid only if you are using Oracle Sharding. Specify DUPLICATED
to create a duplicated table, which is duplicated on all shards. It can be a nonpartitioned table or partitioned table.
Restrictions on Duplicated Tables
The following restrictions apply to duplicated tables:
A duplicated table cannot contain a LONG
column.
The maximum number of non-primary key columns in a duplicated table is 999.
An XMLType
column in a duplicated table can be used only in an Automatic Segment Space Management (ASSM) tablespace.
A duplicated table cannot be a temporary table.
A duplicated table cannot be a reference-partitioned table or a system-partitioned table.
You cannot specify NOLOGGING
or PARALLEL
for a duplicated table.
You cannot enable a duplicated table for the In-Memory Column Store.
schema
Specify the schema to contain the table. If you omit schema
, then the database creates the table in your own schema.
table
Specify the name of the table or object table to be created. The name must satisfy the requirements listed in "Database Object Naming Rules".
See Also:
SHARING
This clause applies only when creating a table in an application root. This type of table is called an application common object and its data can be shared with the application PDBs that belong to the application root. To determine how the table data is shared, specify one of the following sharing attributes:
METADATA
- A metadata link shares the table’s metadata, but its data is unique to each container. This type of table is referred to as a metadata-linked application common object.
DATA
- A data link shares the table, and its data is the same for all containers in the application container. Its data is stored only in the application root. This type of table is referred to as a data-linked application common object.
EXTENDED
DATA
- An extended data link shares the table, and its data in the application root is the same for all containers in the application container. However, each application PDB in the application container can store data that is unique to the application PDB. For this type of table, data is stored in the application root and, optionally, in each application PDB. This type of table is referred to as an extended data-linked application common object.
NONE
- The table is not shared.
If you omit this clause, then the database uses the value of the DEFAULT_SHARING
initialization parameter to determine the sharing attribute of the table. If the DEFAULT_SHARING
initialization parameter does not have a value, then the default is METADATA
.
When creating a relational table, you can specify METADATA
, DATA
, EXTENDED
DATA
, or NONE
.
When creating an object table or an XMLTYPE
table, you can specify only METADATA
or NONE
.
You cannot change the sharing attribute of a table after it is created.
See Also:
Oracle Database Reference for more information on the DEFAULT_SHARING
initialization parameter
Oracle Database Administrator’s Guide for complete information on creating application common objects
relational_table
This clause lets you create a relational table.
relational_properties
The relational properties describe the components of a relational table.
column_definition
The column_definition
lets you define the characteristics of the column.
Specifying column_definition with AS subquery
If you specify the AS
subquery
clause, and each column returned by subquery
has a column name or is an expression with a specified column alias, then you can omit the column_definition
clause. In this case, the names of the columns of table are the same as the names of the columns returned by subquery
. The exception is creating an index-organized table, for which you must specify the column_definition
clause, because you must designate a primary key column. Regardless of the table type, if you specify the column_definition
clause and the AS
subquery
clause, then you must omit datatype
from the column_definition
clause.
Specify the name of a column of the table. The name must satisfy the requirements listed in "Database Object Naming Rules".
If you also specify AS
subquery
, then you can omit column
and datatype
unless you are creating an index-organized table. If you specify AS
subquery
when creating an index-organized table, then you must specify column
, and you must omit datatype
.
The absolute maximum number of columns in a table is 1000. When you create an object table or a relational table with columns of object, nested table, varray, or REF type, Oracle Database maps the columns of the user-defined types to relational columns, in effect creating hidden columns that count toward the 1000-column limit. A relational column that stores a user-defined type attribute inherits the collation property of the attribute. In Oracle Database 12c Release 2 (12.2), user-defined types are created using the pseudo-collation property USING_NLS_COMP
and their corresponding relational columns inherit this property.
datatype
Specify the data type of a column.
In general, you must specify datatype
. However, the following exceptions apply:
You must omit datatype
if you specify the AS
subquery
clause.
You can also omit datatype
if the statement designates the column as part of a foreign key in a referential integrity constraint. Oracle Database automatically assigns to the column the data type of the corresponding column of the referenced key of the referential integrity constraint.
Restrictions on Table Column Data Types
The following restrictions apply to the data types of table columns:Do not create a table with LONG
columns. Use LOB columns (CLOB
, NCLOB
, BLOB
) instead. LONG
columns are supported only for backward compatibility.
You can specify a column of type ROWID
, but Oracle Database does not guarantee that the values in such columns are valid rowids.
See Also:
"Data Types" for information on LONG
columns and on Oracle-supplied data types
COLLATE
The COLLATE
clause lets you specify a data-bound collation for the column.
For column_collation_name
, specify a valid named collation or pseudo-collation. For columns of data type CLOB
or NCLOB
, the only allowed value for column_collation_name
is the pseudo-collation USING_NLS_COMP
.
If you omit this clause, then the column is assigned:
the pseudo-collation USING_NLS_COMP
, if the column has the data type CLOB
or NCLOB
, or
the collation of the corresponding parent key column, if the column belongs to a foreign key, or
the default collation for the table as it stands at the time the column is created.
Refer to the DEFAULT COLLATION clause for more information on the default collation for a table.
You can specify the COLLATE
clause only if the COMPATIBLE
initialization parameter is set to 12.2
or greater, and the MAX_STRING_SIZE
initialization parameter is set to EXTENDED
.
SORT
The SORT
keyword is valid only if you are creating this table as part of a hash cluster and only for columns that are also cluster columns.
This clause instructs the database to sort the rows of the cluster on this column after applying the hash function when performing a DML operation. Doing so may improve response time during subsequent operations on the clustered data.
See Also:
"CLUSTER Clause" for information on creating a cluster table
VISIBLE | INVISIBLE
Use this clause to specify whether column
is VISIBLE
or INVISIBLE
. The default is VISIBLE
.
INVISIBLE
columns are user-specified hidden columns. To display or assign a value to an INVISIBLE
column, you must specify its name explicitly. For example:
The SELECT
*
syntax will not display an INVISIBLE
column. However, if you include an INVISIBLE
column in the select list of a SELECT
statement, then the column will be displayed.
You cannot implicitly specify a value for an INVISIBLE
column in the VALUES
clause of an INSERT
statement. You must specify the INVISIBLE
column in the column list.
You must explicitly specify an INVISIBLE
column in Oracle Call Interface (OCI) describes.
You can configure SQL*Plus to allow INVISIBLE
column information to be viewed with the DESCRIBE
command. Refer to SQL*Plus User's Guide and Reference for more information.
Notes on VISIBLE and INVISIBLE Columns
The following notes apply to VISIBLE
and INVISIBLE
columns:
An INVISIBLE
column can be used as a partitioning key when specified as part of CREATE
TABLE
.
You can specify INVISIBLE
columns in a column_expression
.
A virtual column can be an INVISIBLE
column.
PL/SQL %ROWTYPE
attributes do not show INVISIBLE
columns.
The COLUMN_ID
column of the ALL_
, DBA_
, and USER_TAB_COLUMNS
data dictionary views determines the order in which a SELECT
*
query returns columns for a table, view, or materialized view. The value of COLUMN_ID
is NULL for INVISIBLE
columns. When you make an invisible column visible, it will be assigned the next highest available COLUMN_ID
value. When you make a visible column invisible, its COLUMN_ID
value is set to NULL and COLUMN_ID
is decremented by 1 for any columns with a higher COLUMN_ID
.
Restrictions on VISIBLE and INVISIBLE Columns
The following restrictions apply to VISIBLE
and INVISIBLE
columns:
INVISIBLE
columns are not supported in external tables, cluster tables, or temporary tables.
You cannot make a system-generated hidden column visible.
Note:
To determine whether a column is a system-generated hidden column, query the HIDDEN_COLUMN
and USER_GENERATED
columns of the ALL_
, DBA_
, and USER_TAB_COLS
data dictionary views. Refer to Oracle Database Reference for more information.
DEFAULT
The DEFAULT
clause lets you specify a value to be assigned to the column if a subsequent INSERT
statement omits a value for the column. The data type of the expression must match the data type specified for the column. The column must also be large enough to hold this expression.
The DEFAULT
expression can include any SQL function as long as the function does not return a literal argument, a column reference, or a nested function invocation.
The DEFAULT
expression can include the sequence pseudocolumns CURRVAL
and NEXTVAL
, as long as the sequence exists and you have the privileges necessary to access it. Users who perform subsequent inserts that use the DEFAULT
expression must have the INSERT
privilege on the table and the SELECT
privilege on the sequence. If the sequence is later dropped, then subsequent INSERT
statements where the DEFAULT
expression is used will result in an error. If you do not fully qualify the sequence by specifying the sequence owner, for example, SCOTT
.SEQ1
, then Oracle Database will default the sequence owner to be the user who issues the CREATE
TABLE
statement. For example, if user MARY
creates SCOTT
.TABLE
and refers to a sequence that is not fully qualified, such as SEQ2
, then the column will use sequence MARY
.SEQ2
. Synonyms on sequences undergo a full name resolution and are stored as the fully qualified sequence in the data dictionary; this is true for public and private synonyms. For example, if user BETH
adds a column referring to public or private synonym SYN1
and the synonym refers to PETER
.SEQ7
, then the column will store PETER
.SEQ7
as the default.
Restrictions on Default Column Values
Default column values are subject to the following restrictions:
A DEFAULT
expression cannot contain references to PL/SQL functions or to other columns, the pseudocolumns LEVEL
, PRIOR
, and ROWNUM
, or date constants that are not fully specified.
The expression can be of any form except a scalar subquery expression.
See Also:
"About SQL Expressions" for the syntax of expr
ON NULL
If you specify the ON
NULL
clause, then Oracle Database assigns the DEFAULT
column value when a subsequent INSERT
statement attempts to assign a value that evaluates to NULL.
When you specify ON
NULL
, the NOT
NULL
constraint and NOT
DEFERRABLE
constraint state are implicitly specified. If you specify an inline constraint that conflicts with NOT
NULL
and NOT
DEFERRABLE
, then an error is raised.
Restriction on the ON NULL Clause
You cannot specify this clause for an object type column or a REF column.
identity_clause
Use this clause to specify an identity column. The identity column will be assigned an increasing or decreasing integer value from a sequence generator for each subsequent INSERT
statement. You can use the identity_options
clause to configure the sequence generator.
ALWAYS
If you specify ALWAYS
, then Oracle Database always uses the sequence generator to assign a value to the column. If you attempt to explicitly assign a value to the column using INSERT
or UPDATE
, then an error will be returned. This is the default.
BY DEFAULT
If you specify BY
DEFAULT
, then Oracle Database uses the sequence generator to assign a value to the column by default, but you can also explicitly assign a specified value to the column. If you specify ON
NULL
, then Oracle Database uses the sequence generator to assign a value to the column when a subsequent INSERT
statement attempts to assign a value that evaluates to NULL.
identity_options
Use the identity_options
clause to configure the sequence generator. The identity_options
clause has the same parameters as the CREATE
SEQUENCE
statement. Refer to CREATE SEQUENCE for a full description of these parameters and characteristics. The exception is START
WITH
LIMIT VALUE
, which is specific to identity_options
and can only be used with ALTER
TABLE
MODIFY
. Refer to identity_options for more information.
Note:
When you create an identity column, Oracle recommends that you specify the CACHE
clause with a value higher than the default of 20 to enhance performance.
Restrictions on Identity Columns
Identity columns are subject to the following restrictions:
You can specify only one identity column per table.
If you specify identity_clause
, then you must specify a numeric data type for datatype
in the column_definition
clause. You cannot specify a user-defined data type.
If you specify identity_clause
, then you cannot specify the DEFAULT
clause in the column_definition
clause.
When you specify identity_clause
, the NOT
NULL
constraint and NOT
DEFERRABLE
constraint state are implicitly specified. If you specify an inline constraint that conflicts with NOT
NULL
and NOT
DEFERRABLE
, then an error is raised.
If an identity column is encrypted, then the encryption algorithm may be inferred. Oracle recommends that you use a strong encryption algorithm on identity columns.
CREATE
TABLE
AS
SELECT
will not inherit the identity property on a column.
encryption_spec
The ENCRYPT
clause lets you use the Transparent Data Encryption (TDE) feature to encrypt the column you are defining. You can encrypt columns of type CHAR
, NCHAR
, VARCHAR2
, NVARCHAR2
, NUMBER
, DATE
, LOB, and RAW
. The data does not appear in its encrypted form to authorized users, such as the user who encrypts the column.
Note:
Column encryption requires that a system administrator with appropriate privileges has initialized the security module, opened a keystore, and set an encryption key. Refer to Oracle Database Advanced Security Guide for general information about column encryption and to security_clauses for related ALTER
SYSTEM
statements.
USING 'encrypt_algorithm'
Use this clause to specify the name of the algorithm to be used. Valid algorithms are AES256
, AES192
, AES128
and 3DES168
. If the COMPATIBLE
initialization parameter is set to 12
.2
or higher, then the following algorithms are also valid: ARIA128
, ARIA192
, ARIA256
, GOST256
, and SEED128
. If you omit this clause, then the database uses AES192
. If you encrypt more than one column in the same table, and if you specify the USING
clause for one of the columns, then you must specify the same encryption algorithm for all the encrypted columns.
IDENTIFIED BY password
If you specify this clause, then the database derives the column key from the specified password.
'integrity_algorithm'
Use this clause to specify the integrity algorithm to be used. Valid integrity algorithms are SHA-1
and NOMAC
.
If you specify SHA-1
, then TDE uses the Secure Hash Algorithm (SHA-1) and adds a 20-byte Message Authentication Code (MAC) to each encrypted value for integrity checking. This is the default.
If you specify NOMAC
, then TDE does not add a MAC and does not perform the integrity check. This saves 20 bytes of disk space per encrypted value. Refer to Oracle Database Advanced Security Guide for more information on using NOMAC
to save disk space and improve performance.
All encrypted columns in a table must use the same integrity algorithm. If you already have a table column using the SHA-1
algorithm, then you cannot use the NOMAC
parameter to encrypt another column in the same table. Refer to the REKEY encryption_spec clause of ALTER
TABLE
to learn how to change the integrity algorithm used by all encrypted columns in a table.
SALT | NO SALT
Specify SALT
to instruct the database to append a random string, called "salt," to the clear text of the column before encrypting it. This is the default.
Specify NO
SALT
to prevent the database from appending salt to the clear text of the column before encrypting it.
The following considerations apply when specifying SALT
or NO
SALT
for encrypted columns:
If you want to use the column as an index key, then you must specify NO
SALT
. Refer to Oracle Database Advanced Security Guide for a description of "salt" in this context.
If you specify table compression for the table, then the database does not compress the data in encrypted columns with SALT
.
You cannot specify SALT
or NO
SALT
for LOB encryption.
Restrictions on encryption_spec
The following restrictions apply to column encryption:
Transparent Data Encryption is not supported by the traditional import and export utilities or by transportable-tablespace-based export. Use the Data Pump import and export utilities with encrypted columns instead.
To encrypt a column in an external table, the table must use ORACLE_DATAPUMP
as its access type.
You cannot encrypt a column in tables owned by SYS
.
You cannot encrypt a foreign key column.
See Also:
Oracle Database Advanced Security Guide for more information about Transparent Data Encryption
virtual_column_definition
The virtual_column_definition
clause lets you create a virtual column. A virtual column is not stored on disk. Rather, the database derives the values in a virtual column on demand by computing a set of expressions or functions. Virtual columns can be used in queries, DML, and DDL statements. They can be indexed, and you can collect statistics on them. Thus, they can be treated much as other columns. Exceptions and restrictions are listed below in "Notes on Virtual Columns" and "Restrictions on Virtual Columns".
column
For column
, specify the name of the virtual column.
datatype
You can optionally specify the data type of the virtual column. If you omit datatype
, then the database determines the data type of the column based on the data type of the underlying expressions. All Oracle scalar data types and XMLType
are supported.
COLLATE
The COLLATE
clause lets you specify a data-bound collation for the virtual column. For column_collation_name
, specify a valid named collation or pseudo-collation. If you omit this clause, then the column is assigned the default collation for the table as it stands at the time the column is created, unless the column belongs to a foreign key, in which case it inherits the collation from the corresponding column of the parent key. Refer to the DEFAULT COLLATION clause for more information on the default collation for a table.
You can specify the COLLATE
clause only if the COMPATIBLE
initialization parameter is set to 12.2
or greater, and the MAX_STRING_SIZE
initialization parameter is set to EXTENDED
.
VISIBLE | INVISIBLE
Use this clause to specify whether virtual column is VISIBLE
or INVISIBLE
. The default is VISIBLE
. For complete information, refer to "VISIBLE | INVISIBLE".
GENERATED ALWAYS
The optional keywords GENERATED
ALWAYS
are provided for semantic clarity. They indicate that the column is not stored on disk, but is evaluated on demand.
column_expression
The AS
column_expression
clause determines the content of the column. Refer to "Column Expressions" for more information on column_expression
.
VIRTUAL
The optional keyword VIRTUAL
is provided for semantic clarity.
evaluation_edition_clause
You must specify this clause if column_expression
refers to an editioned PL/SQL function. Use this clause to specify the edition that is searched during name resolution of the editioned PL/SQL function—the evaluation edition.
Specify CURRENT
EDITION
to search the edition in which this DDL statement is executed.
Specify EDITION
edition
to search edition
.
Specifying NULL
EDITION
is equivalent to omitting the evaluation_edition_clause
.
If you omit the evaluation_edition_clause
, then editioned objects are invisible during name resolution and an error will result. If the evaluation edition is dropped, then a subsequent query on the virtual column will result in an error.
The database does not maintain dependencies on the functions referenced by a virtual column. Therefore, if a virtual column refers to a noneditioned function, and the function becomes editioned, then the following operations may raise an error:
Querying the virtual column
Updating a row that includes the virtual column
Firing a trigger that accesses the virtual column
See Also:
Oracle Database Development Guide for more information on specifying the evaluation edition for a virtual column
unusable_editions_clause
This clause lets you specify that the virtual column expression is unusable for evaluating queries in one or more editions. The remaining editions form a range of editions in which it is safe for the optimizer to use the virtual column expression to evaluate queries.
For example, suppose you define a function-based index on the virtual column. The optimizer can use the function-based index to evaluate queries that contain the virtual column expression in their WHERE
clause. If a query is compiled in an edition that is in the usable range of editions for the virtual column, then the optimizer will consider using the index to evaluate the query. If a query is compiled in an edition outside the usable range of editions for the virtual column, then the optimizer will not consider using the index.
See Also:
Oracle Database Concepts for more information on optimization with function-based indexes
UNUSABLE BEFORE Clause
This clause lets you specify that the virtual column expression is unusable for evaluating queries in the ancestors of an edition.
If you specify CURRENT
EDITION
, then the virtual column expression is unusable in the ancestors of the edition in which this DDL statement is executed.
If you specify EDITION
edition
, then the virtual column expression is unusable in the ancestors of the specified edition
.
UNUSABLE BEGINNING WITH Clause
This clause lets you specify that the virtual column expression is unusable for evaluating queries in an edition and its descendants.
If you specify CURRENT
EDITION
, then the virtual column expression is unusable in the edition in which this DDL statement is executed and its descendants.
If you specify EDITION
edition
, then the virtual column expression is unusable in the specified edition
and its descendants.
Specifying NULL
EDITION
is equivalent to omitting the UNUSABLE
BEGINNING
WITH
clause.
If an edition specified in this clause is subsequently dropped, there is no effect on the virtual column.
Notes on Virtual Columns
If column_expression
refers to a column on which column-level security is implemented, then the virtual column does not inherit the security rules of the base column. In such a case, you must ensure that data in the virtual column is protected, either by duplicating a column-level security policy on the virtual column or by applying a function that implicitly masks the data. For example, it is common for credit card numbers to be protected by a column-level security policy, while still allowing call center employees to view the last four digits of the credit card number for validation purposes. In such a case, you could define the virtual column to take a substring of the last four digits of the credit card number.
A table index defined on a virtual column is equivalent to a function-based index on the table.
You cannot directly update a virtual column. Thus, you cannot specify a virtual column in the SET
clause of an UPDATE
statement. However, you can specify a virtual column in the WHERE
clause of an UPDATE
statement. Likewise, you can specify a virtual column in the WHERE
clause of a DELETE
statement to delete rows from a table based on the derived value of the virtual column.
A query that specifies in its FROM
clause a table containing a virtual column is eligible for result caching. Refer to "RESULT_CACHE Hint" for more information on result caching.
The column_expression
can refer to a PL/SQL function if the function is explicitly designated DETERMINISTIC
during its creation. However, if the function is subsequently replaced, definitions dependent on the virtual column are not invalidated. In such a case, if the table contains data, queries that reference the virtual column may return incorrect results if the virtual column is used in the definition of constraints, indexes, or materialized views or for result caching. Therefore, in order to replace the deterministic PL/SQL function for a virtual column.
Disable and re-enable any constraints on the virtual column.
Rebuild any indexes on the virtual column.
Fully refresh materialized views accessing the virtual column.
Flush the result cache if cached queries have accessed the virtual column.
Regather statistics on the table.
A virtual column can be an INVISIBLE
column. The column_expression
can contain INVISIBLE
columns.
Restrictions on Virtual Columns
You can create virtual columns only in relational heap tables. Virtual columns are not supported for index-organized, external, object, cluster, or temporary tables.
The column_expression
in the AS
clause has the following restrictions:
It cannot refer to another virtual column by name.
Any columns referenced in column_expression
must be defined on the same table.
It can refer to a deterministic user-defined function, but if it does, then you cannot use the virtual column as a partitioning key column.
The output of column_expression
must be a scalar value.
See Also:
"Column Expressions" for additional information and restrictions on column_expression
The virtual column cannot be an Oracle supplied data type, a user-defined type, or LOB or LONG
RAW
.
You cannot specify a call to a PL/SQL function in the defining expression for a virtual column that you want to use as a partitioning column.
See Also:
"Adding a Virtual Table Column: Example" and Oracle Database Administrator's Guide for examples of creating tables with virtual columns
period_definition
Use the period_definition
clause to create a valid time dimension for table
.
This clause implements Temporal Validity support for table
. If you specify this clause, then one column in table
, the start time column, contains a start date or timestamp, and another column in table
, the end time column, contains an end date or timestamp. These two columns define a valid time dimension for table
—that is, a period of time for which each row is considered valid. You can use Oracle Flashback Query to retrieve rows from table
based on whether they are considered valid as of a specified time, before a specified time, or during a specified time period.
You can specify at most one valid time dimension when you create a table. You can subsequently add additional valid time dimensions to a table with the add_period_clause of ALTER
TABLE
.
valid_time_column
Specify the name of the valid time dimension. The name must satisfy the requirements listed in "Database Object Naming Rules". Oracle Database creates an INVISIBLE
virtual column with this name of data type NUMBER
in table
.
start_time_column and end_time_column
You can optionally specify these clauses as follows:
Use start_time_column
to specify the name of the start time column, which contains the start date or timestamp.
Use end_time_column
to specify the name of the end time column, which contains the end date or timestamp.
The names you specify for start_time_column
and end_time_column
must satisfy the requirements listed in "Database Object Naming Rules".
If you specify these clauses, then you must define start_time_column
and end_time_column
in the column_definition
clause of CREATE
TABLE
. Each column must be of a datetime data type (DATE
, TIMESTAMP
, TIMESTAMP
WITH
TIME
ZONE
, or TIMESTAMP
WITH
LOCAL
TIME
ZONE
) and can be VISIBLE
or INVISIBLE
.
If you do not specify these clauses, then Oracle Database creates a start time column named valid_time_column
_START
, and an end time column named valid_time_column
_END
. These columns are of data type TIMESTAMP
WITH
TIME
ZONE
and are INVISIBLE
.
You can insert and update values in the start time column and end time column as you would any column, with the following considerations:
If the value of the start time column is NULL, then the row is considered valid for all time values that occur before, but not including, the value of the end time column.
If the value of the end time column is NULL, then the row is considered valid for all time values that occur on or after the value of the start time column.
If the value of neither column is NULL, then the value of the start time column must be earlier than the value of the end time column. The row is considered valid for all time values that occur on or after the value of the start time column, and up to, but not including, the value of the end time column.
If the value of both columns is NULL, then the row is considered valid for all time values.
Restrictions on Valid Time Dimension Columns
The following restrictions apply to valid time dimension columns:
The valid_time_column
is for internal use only. You cannot perform DDL or DML operations on it with one exception: You can drop the column by using the drop_period_clause
of ALTER
TABLE
.
You can drop the start time column and end time column only by using the drop_period_clause
of ALTER
TABLE
.
If the start time column and end time column are automatically created by Oracle Database, then they are INVISIBLE
and you cannot subsequently make them VISIBLE
.
See Also:
Oracle Database Development Guide for more information on Temporal Validity
SELECT
flashback_query_clause for more information on Oracle Flashback Query
ALTER
TABLE
add_period_clause and drop_period_clause for information how to add and drop a valid time dimension
Constraint Clauses
Use these clauses to create constraints on the table columns. You must specify a PRIMARY
KEY
constraint for an index-organized table, and it cannot be DEFERRABLE
. Refer to constraint for syntax and description of these constraints as well as examples.
inline_ref_constraint and out_of_line_ref_constraint
These clauses let you describe a column of type REF
. The only difference between these clauses is that you specify out_of_line_ref_constraint
from the table level, so you must identify the REF
column or attribute you are defining. Specify inline_ref_constraint
as part of the definition of the REF
column or attribute.
See Also:
inline_constraint
Use the inline_constraint
to define an integrity constraint as part of the column definition.
You can create UNIQUE
, PRIMARY
KEY
, and REFERENCES
constraints on scalar attributes of object type columns. You can also create NOT
NULL
constraints on object type columns and CHECK
constraints that reference object type columns or any attribute of an object type column.
out_of_line_constraint
Use the out_of_line_constraint
syntax to define an integrity constraint as part of the table definition.
supplemental_logging_props
The supplemental_logging_props
clause lets you instruct the database to put additional data into the log stream to support log-based tools.
supplemental_log_grp_clause
Use this clause to create a named log group.
The NO
LOG
clause lets you omit from the redo log one or more columns that would otherwise be included in the redo for the named log group. You must specify at least one fixed-length column without NO
LOG
in the named log group.
If you specify ALWAYS
, then during an update, the database includes in the redo all columns in the log group. This is called an unconditional log group (sometimes called an "always log group"), because Oracle Database supplementally logs all the columns in the log group when the associated row is modified. If you omit ALWAYS
, then the database supplementally logs all the columns in the log group only if any column in the log group is modified. This is called a conditional log group.
You can query the appropriate USER_
, ALL_
, or DBA_LOG_GROUP_COLUMNS
data dictionary view to determine whether any supplemental logging has already been specified.
supplemental_id_key_clause
Use this clause to specify that all or a combination of the primary key, unique key, and foreign key columns should be supplementally logged. Oracle Database will generate either an unconditional log group or a conditional log group. With an unconditional log group, the database supplementally logs all the columns in the log group when the associated row is modified. With a conditional log group, the database supplementally logs all the columns in the log group only if any column in the log group is modified.
If you specify ALL
COLUMNS
, then the database includes in the redo log all the fixed-length maximum size columns of that row. Such a redo log is a system-generated unconditional log group.
If you specify PRIMARY
KEY
COLUMNS
, then for all tables with a primary key, the database places into the redo log all columns of the primary key whenever an update is performed. Oracle Database evaluates which columns to supplementally log as follows:
First the database chooses columns of the primary key constraint, if the constraint is validated or marked RELY
and is not marked as DISABLED
or INITIALLY
DEFERRED
.
If no primary key columns exist, then the database looks for the smallest UNIQUE
index with at least one NOT
NULL
column and uses the columns in that index.
If no such index exists, then the database supplementally logs all scalar columns of the table.
If you specify UNIQUE
COLUMNS
, then for all tables with a unique key or a bitmap index, if any of the unique key or bitmap index columns are modified, the database places into the redo log all other columns belonging to the unique key or bitmap index. Such a log group is a system-generated conditional log group.
If you specify FOREIGN
KEY
COLUMNS
, then for all tables with a foreign key, if any foreign key columns are modified, the database places into the redo log all other columns belonging to the foreign key. Such a redo log is a system-generated conditional log group.
If you specify this clause multiple times, then the database creates a separate log group for each specification. You can query the appropriate USER_
, ALL_
, or DBA_LOG_GROUPS
data dictionary view to determine whether any supplemental logging data has already been specified.
DEFAULT COLLATION
This clause lets you specify the default collation for the table. The default collation is assigned to columns of the table that are of a character data type and are created with this statement or subsequently added to the table with an ALTER
TABLE
statement. For collation_name
, specify a valid named collation or pseudo-collation.
If you omit this clause, then the default collation for the table is set to the effective schema default collation of the schema containing the table. Refer to the DEFAULT_COLLATION clause of ALTER
SESSION
for more information on the effective schema default collation.
You can override the table’s default collation and assign a data-bound collation to a particular column by specifying the COLLATE
clause in the column_definition
or virtual_column_definition
clause of CREATE
TABLE
or ALTER
TABLE
, or the modify_col_properties
or modify_virtcol_properties
clause of ALTER
TABLE
.
You can specify the DEFAULT
COLLATION
clause only if the COMPATIBLE
initialization parameter is set to 12.2
or greater, and the MAX_STRING_SIZE
initialization parameter is set to EXTENDED
.
Restriction on Collation for CLOB and NCLOB Columns
If a column has the data type of CLOB
or NCLOB
, then its specified collation must be USING_NLS_COMP
. The collation of CLOB
and NCLOB
columns is always USING_NLS_COMP
and is not affected by the default collation for the table.
See Also:
Oracle Database Globalization Support Guide for full information on default collations and data-bound collations
ON COMMIT
The ON
COMMIT
clause is relevant only if you are creating a temporary table. This clause specifies whether the data in the temporary table persists for the duration of a transaction or a session.
DELETE ROWS
Specify DELETE
ROWS
for a transaction-specific temporary table. This is the default. Oracle Database will truncate the table (delete all its rows) after each commit.
PRESERVE ROWS
Specify PRESERVE
ROWS
for a session-specific temporary table. Oracle Database will truncate the table (delete all its rows) when you terminate the session.
physical_properties
The physical properties relate to the treatment of extents and segments and to the storage characteristics of the table.
deferred_segment_creation
Use this clause to determine when the database should create the segment(s) for this table:
SEGMENT
CREATION
DEFERRED
: This clause defers creation of the table segment — as well as segments for any LOB columns of the table, any indexes created implicitly as part of table creation, and any indexes subsequently explicitly created on the table — until the first row of data is inserted into the table. At that time, the segments for the table, LOB columns and indexes, and explicitly created indexes are all materialized and inherit any storage properties specified in this CREATE
TABLE
statement or, in the case of explicitly created indexes, the CREATE
INDEX
statement. These segments are created regardless whether the initial insert operation is uncommitted or rolled back. This is the default value.
Caution:
When creating many tables with deferred segment creation, ensure that you allocate enough space for your database so that when the first rows are inserted, there is enough space for all the new segments.
SEGMENT
CREATION
IMMEDIATE
: The table segment is created as part of this CREATE
TABLE
statement.
Immediate segment creation is useful, for example, if your application depends upon the object appearing in the DBA_
, USER_
, and ALL_SEGMENTS
data dictionary views, because the object will not appear in those views until the segment is created. This clause overrides the setting of the DEFERRED_SEGMENT_CREATION
initialization parameter.
To determine whether a segment has been created for an existing table or its LOB columns or indexes, query the SEGMENT_CREATED
column of USER_TABLES
, USER_INDEXES
, or USER_LOBS
.
Notes on Tables Without Segments
The following rules apply to a table whose segment has not yet been materialized:
If you create this table with CREATE
TABLE
... AS
subquery
, then if the source table has no rows, segment creation of the new table is deferred. If the source table has rows, then segment creation of the new table is not deferred.
If you specify ALTER
TABLE
... ALLOCATE
EXTENT
before the segment is materialized, then the segment is materialized and then an extent is allocated. However the ALLOCATE
EXTENT
clause in a DDL statement on any indexes of the table will return an error.
In a DDL statement on the table or its LOB columns or indexes, any specification of DEALLOCATE
UNUSED
is silently ignored.
ONLINE
operations on indexes of a table or table partition without a segment will silently be disabled; that is, they will proceed OFFLINE
.
If any of the following DDL statements are executed on a table with one or more LOB columns, then the resulting partition(s) or subpartition(s) will be materialized:
ALTER
TABLE
SPLIT
[SUB]PARTITION
ALTER
TABLE
MERGE
[SUB]PARTITIONS
ALTER
TABLE
ADD
[SUB]PARTITION
(hash partitions only)
ALTER
TABLE
COALESCE
[SUB]PARTITION
(hash partitions only)
Restrictions on Deferred Segment Creation
This clause is subject to the following restrictions:
You cannot defer segment creation for the following types of tables: clustered tables, global temporary tables, session-specific temporary tables, internal tables, external tables, and tables owned by SYS
, SYSTEM
, PUBLIC
, OUTLN
, or XDB
.
Deferred segment creation is not supported in dictionary-managed tablespaces.
Deferred segment creation is not supported in the SYSTEM
tablespace.
Serializable transactions do not work with deferred segment creation. Trying to insert data into an empty table with no segment created causes an error.
See Also:
Oracle Database Concepts for general information on segment allocation and Oracle Database Reference for more information about the DEFERRED_SEGMENT_CREATION
initialization parameter
segment_attributes_clause
The segment_attributes_clause
lets you specify physical attributes and tablespace storage for the table.
physical_attributes_clause
The physical_attributes_clause
lets you specify the value of the PCTFREE
, PCTUSED
, and INITRANS
parameters and the storage characteristics of the table.
For a nonpartitioned table, each parameter and storage characteristic you specify determines the actual physical attribute of the segment associated with the table.
For partitioned tables, the value you specify for the parameter or storage characteristic is the default physical attribute of the segments associated with all partitions specified in this CREATE
statement (and in subsequent ALTER
TABLE
... ADD
PARTITION
statements), unless you explicitly override that value in the PARTITION
clause of the statement that creates the partition.
If you omit this clause, then Oracle Database sets PCTFREE
to 10, PCTUSED
to 40, and INITRANS
to 1.
See Also:
physical_attributes_clause and storage_clause for a description of these clauses
Specify the tablespace in which Oracle Database creates the table, object table OIDINDEX
, partition, LOB data segment, LOB index segment, or index-organized table overflow data segment. If you omit TABLESPACE
, then the database creates that item in the default tablespace of the owner of the schema containing the table.
For a heap-organized table with one or more LOB columns, if you omit the TABLESPACE
clause for LOB storage, then the database creates the LOB data and index segments in the tablespace where the table is created.
For an index-organized table with one or more LOB columns, if you omit TABLESPACE
, then the LOB data and index segments are created in the tablespace in which the primary key index segment of the index-organized table is created.
For nonpartitioned tables, the value specified for TABLESPACE
is the actual physical attribute of the segment associated with the table. For partitioned tables, the value specified for TABLESPACE
is the default physical attribute of the segments associated with all partitions specified in the CREATE
statement and on subsequent ALTER
TABLE
... ADD
PARTITION
statements, unless you specify TABLESPACE
in the PARTITION
description.
See Also:
CREATE TABLESPACE for more information on tablespaces
TABLESPACE SET
This clause is valid only when creating a sharded table by specifying the SHARDED
keyword of CREATE
TABLE
. Use this clause to specify the tablespace set in which Oracle Database creates the table.
logging_clause
Specify whether the creation of the table and of any indexes required because of constraints, partition, or LOB storage characteristics will be logged in the redo log file (LOGGING
) or not (NOLOGGING
).The logging attribute of the table is independent of that of its indexes.
This attribute also specifies whether subsequent direct loader (SQL*Loader) and direct-path INSERT
operations against the table, partition, or LOB storage are logged (LOGGING
) or not logged (NOLOGGING
).
Refer to logging_clause for a full description of this clause.
table_compression
The table_compression
clause is valid only for heap-organized tables. Use this clause to instruct the database whether to compress data segments to reduce disk use. The COMPRESS
clauses enable table compression. The NOCOMPRESS
clause disables table compression. The default is NOCOMPRESS
.
COMPRESS
Specifying only the keyword COMPRESS
is equivalent to specifying ROW
STORE
COMPRESS
BASIC
and enables basic table compression.
ROW STORE COMPRESS BASIC
When you enable table compression by specifying either ROW
STORE
COMPRESS
or ROW
STORE
COMPRESS
BASIC
, you enable basic table compression. Oracle Database attempts to compress data during direct-path INSERT
operations when it is productive to do so. The original import utility (imp) does not support direct-path INSERT
, and therefore cannot import data in a compressed format.
Tables with basic table compression use a PCTFREE
value of 0 to maximize compression, unless you explicitly set a value for PCTFREE
in the physical_attributes_clause
.
In earlier releases, basic table compression was enabled using COMPRESS
BASIC
. This syntax is still supported for backward compatibility.
See Also:
"Conventional and Direct-Path INSERT" for information on direct-path INSERT
operations, including restrictions
ROW STORE COMPRESS ADVANCED
When you enable table compression by specifying ROW
STORE
COMPRESS
ADVANCED
, you enable Advanced Row Compression. Oracle Database compresses data during all DML operations on the table. This form of compression is recommended for OLTP environments.
Tables with ROW
STORE
COMPRESS
ADVANCED
or NOCOMPRESS
use the PCTFREE
default value of 10, to maximize compress while still allowing for some future DML changes to the data, unless you override this default explicitly.
In earlier releases, Advanced Row Compression was called OLTP table compression and was enabled using COMPRESS
FOR
OLTP
. This syntax is still supported for backward compatibility.
COLUMN STORE COMPRESS FOR { QUERY | ARCHIVE }
When you specify COLUMN
STORE
COMPRESS
FOR
QUERY
or COLUMN
STORE
COMPRESS
FOR
ARCHIVE
, you enable Hybrid Columnar Compression. With Hybrid Columnar Compression, data can be compressed during direct-path inserts, conventional inserts, and array inserts. During the load process, data is transformed into a column-oriented format and then compressed. Oracle Database uses a compression algorithm appropriate for the level you specify. In general, the higher the level, the greater the compression ratio. Hybrid Columnar Compression can result in higher compression ratios, at a greater CPU cost. Therefore, this form of compression is recommended for data that is not frequently updated.
COLUMN
STORE
COMPRESS
FOR
QUERY
is useful in data warehousing environments. Valid values are LOW
and HIGH
, with HIGH
providing a higher compression ratio. The default is HIGH
.
COLUMN
STORE
COMPRESS
FOR
ARCHIVE
uses higher compression ratios than COLUMN
STORE
COMPRESS
FOR
QUERY
, and is useful for compressing data that will be stored for long periods of time. Valid values are LOW
and HIGH
, with HIGH
providing the highest possible compression ratio. The default is LOW
.
Specifying COLUMN
STORE
COMPRESS
is equivalent to specifying COLUMN
STORE
COMPRESS
FOR
QUERY
HIGH
.
Tables with COLUMN
STORE
COMPRESS
FOR
QUERY
or COLUMN
STORE
COMPRESS
FOR
ARCHIVE
use a PCTFREE
value of 0 to maximize compression, unless you explicitly set a value for PCTFREE
in the physical_attributes_clause
. For these tables, PCTFREE
has no effect for blocks loaded using direct-path INSERT
. PCTFREE
is honored for blocks loaded using conventional INSERT
, and for blocks created as a result of DML operations on blocks originally loaded using direct-path INSERT
.
[NO] ROW LEVEL LOCKING
If you specify ROW
LEVEL
LOCKING
, then Oracle Database uses row-level locking during DML operations. This improves the performance of these operations when accessing Hybrid Columnar Compressed data. If you specify NO
ROW
LEVEL
LOCKING
, then row-level locking is not used. The default is NO
ROW
LEVEL
LOCKING
.
In earlier releases, Hybrid Columnar Compression was enabled using COMPRESS
FOR
QUERY
and COMPRESS
FOR
ARCHIVE
. This syntax is still supported for backward compatibility.
See Also:
Oracle Database Concepts for more information on Hybrid Columnar Compression, which is a feature of certain Oracle storage systems
Notes on Table Compression
You can specify table compression for the following portions of a heap-organized table:
For an entire table, in the physical_properties
clause of relational_table
or object_table
For a range partition, in the table_partition_description
of the range_partitions
clause
For a composite range partition, in the table_partition_description
of the range_partition_desc
clause
For a composite list partition, in the table_partition_description
of the list_partition_desc
clause
For a list partition, in the table_partition_description
of the list_partitions
clause
For a system or reference partition, in the table_partition_description
of the reference_partition_desc
clause
For the storage table of a nested table, in the nested_table_col_properties
clause
See Also:
Oracle Database PL/SQL Packages and Types Reference for information about the DBMS_COMPRESSION
package, which helps you choose the correct compression level for an application, and Oracle Database Administrator's Guide for more information about table compression, including examples
Restrictions on Table Compression
Table compression is subject to the following restrictions:
Data segments of BasicFiles LOBs are not compressed. For information on compression of SecureFiles LOBs, see LOB_compression_clause.
You cannot drop a column from a table that uses COMPRESS
BASIC
, although you can set such a column as unused. All of the operations of the ALTER
TABLE
... drop_column_clause
are valid for tables that use ROW
STORE
COMPRESS
ADVANCED
, COLUMN
STORE
COMPRESS
FOR
QUERY
, and COLUMN
STORE
COMPRESS
FOR
ARCHIVE
.
You cannot specify any type of table compression for an index-organized table, any overflow segment or partition of an overflow segment, or any mapping table segment of an index-organized table.
You cannot specify any type of table compression for external tables or for tables that are part of a cluster.
You cannot specify any type of table compression for tables with LONG
or LONG
RAW
columns, tables that are owned by the SYS
schema and reside in the SYSTEM
tablespace, or tables with ROWDEPENDENCIES
enabled.
You cannot specify Hybrid Columnar Compression on tables that are enabled for flashback archiving.
You cannot specify Hybrid Columnar Compression on the following object-relational features: object tables, XMLType
tables, columns with abstract data types, collections stored as tables, or OPAQUE types, including XMLType
columns stored as objects.
When you update a row in a table compressed with Hybrid Columnar Compression, the ROWID
of the row may change.
In tables compressed with Hybrid Columnar Compression, updates to a single row may result in locks on multiple rows. Concurrency for write transactions may therefore be affected.
If a table compressed with Hybrid Columnar Compression has a foreign key constraint, and you insert data using INSERT
with the APPEND
hint, then the data will be compressed to a lesser level than is typical with Hybrid Columnar Compression. To compress the data with Hybrid Columnar Compression, disable the foreign key constraint, insert the data using INSERT
with the APPEND
hint, and then reenable the foreign key constraint.
inmemory_table_clause
Use this clause to enable or disable the table for the In-Memory Column Store (IM column store). The IM column store is an optional, static SGA pool that stores copies of tables and partitions in a special columnar format optimized for rapid scans. The IM column store does not replace the buffer cache, but acts as a supplement so that both memory areas can store the same data in different formats.
Specify INMEMORY
to enable the table for the IM column store.
You can optionally use the inmemory_attributes
clause to specify how table data is stored in the IM column store. This clause enables you to specify the data compression method and the data population priority. In an Oracle RAC environment, it also enables you to specify how the data is distributed and duplicated across Oracle RAC instances. Refer to the inmemory_attributes clause for more information.
Specify NO
INMEMORY
to disable the table for the IM column store.
Specify the inmemory_column_clause
to enable or disable specific table columns for the IM column store, and to specify the data compression method for specific columns. Refer to the inmemory_column_clause for more information.
If you omit this clause, then the table is assigned the default IM column store settings for the tablespace in which it is created. Refer to the inmemory_clause of CREATE
TABLESPACE
for more information on specifying the default IM column store settings for a tablespace.
In an Oracle Active Data Guard environment, if you specify this clause for a table on the primary database, then the table is enabled or disabled for the IM column store in the Oracle Active Data Guard instance.
Note:
The INMEMORY_CLAUSE_DEFAULT
initialization parameter enables you to specify a default IM column store clause for new tables and materialized views. Refer to Oracle Database Reference for more information on the INMEMORY_CLAUSE_DEFAULT
initialization parameter.
Restrictions on the In-Memory Column Store
The following restrictions apply to the In-Memory Column Store:
You cannot specify the INMEMORY
clause for index-organized tables or external tables.
You cannot specify the INMEMORY
clause for tables that are owned by the SYS
schema and reside in the SYSTEM
or SYSAUX
tablespace.
The IM column store does not support LONG
or LONG
RAW
columns, out-of-line columns (LOBs, varrays, nested table columns), or extended data type columns. If you enable a table for the IM column store and it contains any of these types of columns, then the columns will not be populated in the IM column store.
If you enable a table for the IM column store and it contains a virtual column, then the column will be populated in the IM column store only if the value of the INMEMORY_VIRTUAL_COLUMNS
initialization parameter is ENABLED
and the SQL expression for the virtual column refers only to columns that are enabled for the IM column store.
See Also:
Oracle Database In-Memory Guide for an overview of the IM column store
inmemory_attributes
Use the inmemory_memcompress
, inmemory_priority
, inmemory_distribute
, and inmemory_duplicate
clauses to specify how table data is stored in the IM column store.
inmemory_memcompress
Use this clause to specify the compression method for table data stored in the IM column store. This data is called In-Memory data. To instruct the database to not compress In-Memory data, specify NO
MEMCOMPRESS
. To instruct the database to compress In-Memory data, specify MEMCOMPRESS
FOR
followed by one of the following methods:
DML
- This method is optimized for DML operations and performs little or no data compression.
QUERY
- Specifying QUERY
is equivalent to specifying QUERY
LOW
.
QUERY
LOW
- This method compresses In-Memory data the least (except for DML
) and results in the best query performance. This is the default.
QUERY
HIGH
-This method compress In-Memory data more than QUERY
LOW
, but less than CAPACITY
LOW
.
CAPACITY
- Specifying CAPACITY
is equivalent to specifying CAPACITY
LOW
.
CAPACITY
LOW
- This method compresses In-Memory data more than QUERY
HIGH
, but less than CAPACITY
HIGH
, and results in excellent query performance.
CAPACITY
HIGH
- This method compresses In-Memory data the most and results in good query performance.
inmemory_priority
Use the PRIORITY
clause to specify the data population priority for table data in the IM column store. This clause controls the priority of population, but not the speed of population.
Specify NONE
for on-demand population. In this case, the database populates table data in the IM column store when the table it is accessed through a full table scan. If the table is never accessed, or if it is accessed only through an index scan or fetch by rowid, then population never occurs. This is the default.
Specify one of the following priority levels for priority-based population: LOW
, MEDIUM
, HIGH
, or CRITICAL
. In this case, the database automatically populates table data in the IM column store using an internally managed priority queue; a full scan is not a necessary condition for population. The database queues population of the table data based on the specified priority level. For example, a table with the setting INMEMORY
PRIORITY
CRITICAL
takes precedence over a table with the setting INMEMORY
PRIORITY
HIGH
, which in turn takes precedence over a table with the setting INMEMORY
PRIORITY
LOW
, and so on. If the IM column store has insufficient space, then the database does not populate additional table data until space is available.
inmemory_distribute
The DISTRIBUTE
clause is applicable only if you are using Oracle Real Application Clusters (Oracle RAC) or Oracle Active Data Guard. It lets you specify how table data in the IM column store is distributed across Oracle RAC instances, and lets you specify the database instances in which the data is eligible to be populated.
AUTO and BY
Use the AUTO
and BY
clauses to specify how table data in the IM column store is distributed across Oracle RAC instances. You can specify the following options:
AUTO
- Oracle Database controls how data is distributed across Oracle RAC instances. Large tables are distributed across Oracle RAC instances depending on their access patterns. Smaller tables may be distributed between instances. This is the default.
BY
ROWID
RANGE
- Data in certain ranges of rowids is distributed to different Oracle RAC instances.
BY
PARTITION
- Data in partitions is distributed to different Oracle RAC instances.
BY
SUBPARTITION
- Data in subpartitions is distributed to different Oracle RAC instances.
You can only use AUTO
and BY
to distribute the In-Memory Compression Units (IMCUs) for an object between instances in a single Oracle RAC database, not between a primary instance and standby instance in Active Data Guard.
FOR SERVICE
Use the FOR
SERVICE
clause to specify the Oracle RAC or Oracle Active Data Guard instances in which the object is eligible to be populated. You can specify the following options:
DEFAULT
- The object is eligible for population on all instances specified with the PARALLEL_INSTANCE_GROUP
initialization parameter. If this parameter is not set, then the object is populated on all instances. This is the default.
ALL
- The object is eligible for population on all instances, regardless of the value of the PARALLEL_INSTANCE_GROUP
initialization parameter.
service_name
- The object is eligible for population only on instances belonging to the specified service and only when the service is active and not blocked on an instance.
NONE
- The object is not eligible for population on any instances. This option lets you disable IM column store population while preserving the other In-Memory attributes for the table. These attributes take effect if you subsequently enable IM column store population for the table by specifying FOR
SERVICE
DEFAULT
, FOR
SERVICE
ALL
, or FOR
SERVICE
service_name
in the inmemory_distribute
clause of an ALTER
TABLE
statement.
In Oracle RAC, the FOR
SERVICE
clause specifies the instances within the Oracle RAC database. In Active Data Guard, the primary and standby databases may use a single-instance or Oracle RAC configuration. In Active Data Guard, the FOR
SERVICE
clause specifies instances in the primary database, instances in the standby database, or a mixture of primary and standby instances.
inmemory_duplicate
The DUPLICATE
clause is applicable only if you are using Oracle Real Application Clusters (Oracle RAC) on an engineered system. It controls how table data in the IM column store is duplicated across Oracle RAC instances. You can specify the following options:
DUPLICATE
- Data is duplicated on one Oracle RAC instance, resulting in the data existing on a total of two Oracle RAC instances.
DUPLICATE
ALL
- Data is duplicated across all Oracle RAC instances. If you specify DUPLICATE
ALL
, then the database uses the DISTRIBUTE
AUTO
setting, regardless of whether or how you specify the inmemory_distribute
clause.
NO
DUPLICATE
- Data is not duplicated across Oracle RAC instances. This is the default.
inmemory_column_clause
Use this clause to enable or disable specific table columns for the IM column store, and to specify the data compression method for specific columns. If you specify this clause when creating a NO
INMEMORY
table, then the column settings will take effect when the table or partition is subsequently enabled for the IM column store.
Specify INMEMORY
to enable the specified table columns for the IM column store.
You can optionally use the inmemory_memcompress
clause to specify the data compression method for specific columns. See inmemory_memcompress. If you omit the inmemory_memcompress
clause, then the table column uses the data compression method for the table. You cannot specify the PRIORITY
, DISTRIBUTE
, or DUPLICATE
settings for a specific table column. These settings are the same for all table columns as they are for the table.
Specify NO
INMEMORY
to disable the specified table columns for the IM column store.
If you omit the inmemory_column_clause
, then all table columns use the IM column store settings for the table.
Restrictions on inmemory_column_clause
You cannot specify this clause for a LONG
or LONG
RAW
column, an out-of-line column (LOB, varray, nested table column), or an extended data type column.
To selectively enable a virtual column for the IM column store, the value of the INMEMORY_VIRTUAL_COLUMNS
initialization parameter must be ENABLED
or MANUAL
, and the SQL expression for the virtual column must refer only to columns that are enabled for the IM column store.
inmemory_clause
Use this clause to enable or disable a table partition for the IM column store. In order to specify this clause, the table must be enabled for the IM column store. If you omit this clause, then the table partition uses the IM column store settings for the table.
The inmemory_attributes
clause has the same semantics for table partitions as for tables. Refer to the inmemory_attributes clause for full information.
ilm_clause
Use this clause to add an Automatic Data Optimization policy to table
.
This clause has the same semantics in CREATE
TABLE
and ALTER
TABLE
, with the following additional restriction: You can specify only the ADD
POLICY
clause for CREATE
TABLE
. Refer to the ilm_clause for the full semantics of this clause.
See Also:
Oracle Database VLDB and Partitioning Guide for more information on managing policies for Automatic Data Optimization
Restrictions on Automatic Data Optimization
Automatic Data Optimization is subject to the following restrictions:
Automatic Data Optimization is not supported for tables that contain object types, index-organized tables, clustered tables, or materialized views.
Row-level policies are not supported for tables that support Temporal Validity or tables that are enabled for row archiving for In-Database Archiving.
ilm_policy_clause
Use this clause to describe the Automatic Data Optimization policy.
This clause has the same semantics in CREATE
TABLE
and ALTER
TABLE
. Refer to ilm_policy_clause for the full semantics of this clause.
RECOVERABLE | UNRECOVERABLE
These keywords are deprecated and have been replaced with LOGGING
and NOLOGGING
, respectively. Although RECOVERABLE
and UNRECOVERABLE
are supported for backward compatibility, Oracle strongly recommends that you use the LOGGING
and NOLOGGING
keywords.
Restrictions on [UN]RECOVERABLE
This clause is subject to the following restrictions:
You cannot specify RECOVERABLE
for partitioned tables or LOB storage characteristics.
You cannot specify UNRECOVERABLE
for partitioned or index-organized tables.
You can specify UNRECOVERABLE
only with AS
subquery
.
ORGANIZATION
The ORGANIZATION
clause lets you specify the order in which the data rows of the table are stored.
HEAP
indicates that the data rows of table
are stored in no particular order. This is the default.
INDEX
indicates that table
is created as an index-organized table. In an index-organized table, the data rows are held in an index defined on the primary key for the table.
EXTERNAL
indicates that table is a read-only table located outside the database.
See Also:
index_org_table_clause
Use the index_org_table_clause
to create an index-organized table. Oracle Database maintains the table rows, both primary key column values and nonkey column values, in an index built on the primary key. Index-organized tables are therefore best suited for primary key-based access and manipulation. An index-organized table is an alternative to:
A noncluster table indexed on the primary key by using the CREATE
INDEX
statement
A cluster table stored in an indexed cluster that has been created using the CREATE
CLUSTER
statement that maps the primary key for the table to the cluster key
You must specify a primary key for an index-organized table, because the primary key uniquely identifies a row. The primary key cannot be DEFERRABLE
. Use the primary key instead of the rowid for directly accessing index-organized rows.
If an index-organized table is partitioned and contains LOB columns, then you should specify the index_org_table_clause
first, then the LOB_storage_clause
, and then the appropriate table_partitioning_clauses
.
You cannot use the TO_LOB
function to convert a LONG
column to a LOB column in the subquery of a CREATE
TABLE
... AS
SELECT
statement if you are creating an index-organized table. Instead, create the index-organized table without the LONG
column, and then use the TO_LOB
function in an INSERT
... AS
SELECT
statement.
The ROWID
pseudocolumn of an index-organized table returns logical rowids instead of physical rowids. A column that you create with the data type ROWID
cannot store the logical rowids of the IOT. The only data you can store in a column of type ROWID
is rowids from heap-organized tables. If you want to store the logical rowids of an IOT, then create a column of type UROWID
instead. A column of type UROWID
can store both physical and logical rowids.
See Also:
Restrictions on Index-Organized Tables
Index-organized tables are subject to the following restrictions:
You cannot define a virtual column for an index-organized table.
You cannot specify the composite_range_partitions
, composite_list_partitions
, or composite_hash_partitions
clauses for an index-organized table.
If the index-organized table is a nested table or varray, then you cannot specify table_partitioning_clauses
.
The collations of character data type columns belonging to the primary key of an index-organized table must be BINARY
, USING_NLS_COMP
, USING_NLS_SORT
, or USING_NLS_SORT_CS
.
PCTTHRESHOLD integer
Specify the percentage of space reserved in the index block for an index-organized table row. PCTTHRESHOLD
must be large enough to hold the primary key. All trailing columns of a row, starting with the column that causes the specified threshold to be exceeded, are stored in the overflow segment. PCTTHRESHOLD
must be a value from 1 to 50. If you do not specify PCTTHRESHOLD
, then the default is 50.
Restriction on PCTTHRESHOLD
You cannot specify PCTTHRESHOLD
for individual partitions of an index-organized table.
mapping_table_clauses
Specify MAPPING
TABLE
to instruct the database to create a mapping of local to physical ROWID
s and store them in a heap-organized table. This mapping is needed in order to create a bitmap index on the index-organized table. If the index-organized table is partitioned, then the mapping table is also partitioned and its partitions have the same name and physical attributes as the base table partitions.
Oracle Database creates the mapping table or mapping table partition in the same tablespace as its parent index-organized table or partition. You cannot query, perform DML operations on, or modify the storage characteristics of the mapping table or its partitions.
prefix_compression
The prefix_compression
clauses let you enable or disable prefix compression for index-organized tables.
Specify COMPRESS
to enable prefix compression, also known as key compression, for an index-organized table, which eliminates repeated occurrence of primary key column values in index-organized tables. Use integer
to specify the prefix length, which is the number of prefix columns to compress.
The valid range of prefix length values is from 1 to the number of primary key columns minus 1. The default prefix length is the number of primary key columns minus 1.
Specify NOCOMPRESS
to disable prefix compression in index-organized tables. This is the default.
Restriction on Prefix Compression of Index-organized Tables
At the partition level, you can specify COMPRESS
, but you cannot specify the prefix length with integer
.
index_org_overflow_clause
The index_org_overflow_clause
lets you instruct the database that index-organized table data rows exceeding the specified threshold are placed in the data segment specified in this clause.
When you create an index-organized table, Oracle Database evaluates the maximum size of each column to estimate the largest possible row. If an overflow segment is needed but you have not specified OVERFLOW
, then the database raises an error and does not execute the CREATE
TABLE
statement. This checking function guarantees that subsequent DML operations on the index-organized table will not fail because an overflow segment is lacking.
All physical attributes and storage characteristics you specify in this clause after the OVERFLOW
keyword apply only to the overflow segment of the table. Physical attributes and storage characteristics for the index-organized table itself, default values for all its partitions, and values for individual partitions must be specified before this keyword.
If the index-organized table contains one or more LOB columns, then the LOBs will be stored out-of-line unless you specify OVERFLOW
, even if they would otherwise be small enough be to stored inline.
If table
is partitioned, then the database equipartitions the overflow data segments with the primary key index segments.
INCLUDING column_name
Specify a column at which to divide an index-organized table row into index and overflow portions. The primary key columns are always stored in the index. column_name
can be either the last primary key column or any non primary key column. All non primary key columns that follow column_name
are stored in the overflow data segment.
If an attempt to divide a row at column_name
causes the size of the index portion of the row to exceed the specified or default PCTTHRESHOLD
value, then the database breaks up the row based on the PCTTHRESHOLD
value.
Restriction on the INCLUDING Clause
You cannot specify this clause for individual partitions of an index-organized table.
external_table_clause
Use the external_table_clause
to create an external table, which is a read-only table whose metadata is stored in the database but whose data in stored outside the database. Among other capabilities, external tables let you query data without first loading it into the database.
See Also:
Oracle Database Data Warehousing Guide, Oracle Database Administrator's Guide, and Oracle Database Utilities for information on the uses for external tables
Because external tables have no data in the database, you define them with a small subset of the clauses normally available when creating tables.
Within the relational_properties
clause, you can specify only column
, datatype
, ENCRYPT
, inline_constraint
, and out_of_line_constraint
. You can specify the ENCRYPT
clause only when you specify the ORACLE_DATAPUMP
access driver and the AS
subquery
clause to load data into the external table. Within the inline_constraint
and out_of_line_constraint
clauses, you can specify all subclauses except CHECK
.
Within the physical_properties_clause
, you can specify only the organization of the table (ORGANIZATION
EXTERNAL
external_table_clause
).
Within the table_properties
clause, you can specify the parallel_clause
. The parallel_clause
lets you parallelize subsequent queries on the external data and subsequent operations that populate the external table.
Starting with Oracle Database 12c Release 2 (12.2), you can create a partitioned external table. To do this, within the table_properties
clause, you can specify the following subclauses of the table_partitioning_clauses
:
range_partitions
- specify this clause to create a range-partitioned or interval-partitioned external table
list_partitions
- specify this clause to create a list-partitioned external table. Within this clause, you cannot specify the AUTOMATIC
clause; an automatic list-partitioned table cannot be an external table.
composite_range_partitions
- specify this clause to create a range-range, range-list, interval-range, or interval-list composite-partitioned external table
composite_list_partitions
- specify this clause to create a list-range or list-list composite-partitioned external table. Within this clause, you cannot specify the AUTOMATIC
clause; an automatic composite-partitioned table cannot be an external table.
You can populate the external table at create time by using the AS
subquery
clause.
No other clauses are permitted in the same CREATE
TABLE
statement.
See Also:
ALTER TABLE
... "PROJECT COLUMN Clause" for information on the effect of changing the default property of the column projection
Restrictions on External Tables
External tables are subject to the following restrictions:
An external table cannot be a temporary table.
You can specify only the following types of constraints on an external table: NOT
NULL
constraints, unique constraints, primary key constraints, and foreign key constraints. When you specify unique constraints, primary key constraints, or foreign key constraints, you must also specify RELY
DISABLE
. These constraints are declarative and are not enforced. They can increase query performance and reduce resource consumption because more optimizer transformations can be taken into account. In order for the optimizer to utilize these RELY
DISABLE
constraints, the QUERY_REWRITE_INTEGRITY
initialization parameter must be set to either trusted
or stale_tolerated
.
You cannot create an index on an external table.
An external table cannot contain INVISIBLE
columns.
An external table cannot have object type, varray, or LONG
columns. However, you can populate LOB columns of an external table with varray or LONG
data from an internal database table.
TYPE
access_driver_type
indicates the access driver of the external table. The access driver is the API that interprets the external data for the database. Oracle Database provides two access drivers: ORACLE_LOADER
, ORACLE_DATAPUMP
, ORACLE_HDFS
, and ORACLE_HIVE
. If you do not specify TYPE
, then the database uses ORACLE_LOADER
as the default access driver. You must specify the ORACLE_DATAPUMP
access driver if you specify the AS
subquery
clause to unload data from one Oracle Database and reload it into the same or a different Oracle Database.
See Also:
Oracle Database Utilities for information about the ORACLE_LOADER
, ORACLE_DATAPUMP
, ORACLE_HDFS
, and ORACLE_HIVE
access drivers
DEFAULT DIRECTORY
DEFAULT
DIRECTORY
lets you specify a default directory object corresponding to a directory on the file system where the external data sources may reside. The default directory can also be used by the access driver to store auxiliary files such as error logs.
ACCESS PARAMETERS
The optional ACCESS
PARAMETERS
clause lets you assign values to the parameters of the specific access driver for this external table.
The opaque_format_spec
specifies all access parameters for the ORACLE_LOADER
, ORACLE_DATAPUMP
, ORACLE_HDFS
, and ORACLE_HIVE
access drivers. See Oracle Database Utilities for descriptions of the ORACLE_LOADER
, ORACLE_DATAPUMP
, ORACLE_HDFS
, and ORACLE_HIVE
access parameters.
Field names specified in the opaque_format_spec
must match columns in the table definition. Oracle Database ignores any field in the opaque_format_spec
that is not matched by a column in the table definition.
USING
CLOB
subquery
lets you derive the parameters and their values through a subquery. The subquery cannot contain any set operators or an ORDER
BY
clause. It must return one row containing a single item of data type CLOB
.
Whether you specify the parameters in an opaque_format_spec
or derive them using a subquery, the database does not interpret anything in this clause. It is up to the access driver to interpret this information in the context of the external data.
LOCATION
The LOCATION
clause lets you specify one or more external data sources. Usually the location_specifier
is a file, but it need not be. Oracle Database does not interpret this clause. It is up to the access driver to interpret this information in the context of the external data.
You must specify the LOCATION
clause as follows:
When creating a nonpartitioned external table, you must specify the LOCATION
clause at the table level in the external_table_data_props
clause.
When creating a partitioned external table, you must specify the LOCATION
clause at the partition level in the external_part_subpart_data_props
clause.
When creating a composite-partitioned external table, you must specify the LOCATION
clause at the subpartition level in the external_part_subpart_data_props
clause.
REJECT LIMIT
The REJECT
LIMIT
clause lets you specify how many conversion errors can occur during a query of the external data before an Oracle Database error is returned and the query is aborted. The default value is 0.
CLUSTER Clause
The CLUSTER
clause indicates that the table is to be part of cluster
. The columns listed in this clause are the table columns that correspond to the cluster columns. Generally, the cluster columns of a table are the column or columns that make up its primary key or a portion of its primary key. Refer to CREATE CLUSTER for more information.
Specify one column from the table for each column in the cluster key. The columns are matched by position, not by name.
A cluster table uses the space allocation of the cluster. Therefore, do not use the PCTFREE
, PCTUSED
, or INITRANS
parameters, the TABLESPACE
clause, or the storage_clause
with the CLUSTER
clause.
Restrictions on Cluster Tables
Cluster tables are subject to the following restrictions:
Object tables and tables containing LOB columns or columns of the Any*
Oracle-supplied types cannot be part of a cluster.
You cannot specify the parallel_clause
or CACHE
or NOCACHE
for a table that is part of a cluster.
You cannot specify CLUSTER
with either ROWDEPENDENCIES
or NOROWDEPENDENCIES
unless the cluster has been created with the same ROWDEPENDENCIES
or NOROWDEPENDENCIES
setting.
A cluster table cannot contain INVISIBLE
columns.
table_properties
The table_properties
further define the characteristics of the table.
column_properties
Use the column_properties
clauses to specify the storage attributes of a column.
object_type_col_properties
The object_type_col_properties
determine storage characteristics of an object column or attribute or of an element of a collection column or attribute.
column
For column
, specify an object column or attribute.
substitutable_column_clause
The substitutable_column_clause
indicates whether object columns or attributes in the same hierarchy are substitutable for each other. You can specify that a column is of a particular type, or whether it can contain instances of its subtypes, or both.
If you specify ELEMENT
, then you constrain the element type of a collection column or attribute to a subtype of its declared type.
The IS
OF
[TYPE]
(ONLY
type
)
clause constrains the type of the object column to a subtype of its declared type.
NOT
SUBSTITUTABLE
AT
ALL
LEVELS
indicates that the object column cannot hold instances corresponding to any of its subtypes. Also, substitution is disabled for any embedded object attributes and elements of embedded nested tables and varrays. The default is SUBSTITUTABLE
AT
ALL
LEVELS
.
Restrictions on the substitutable_column_clause
This clause is subject to the following restrictions:
You cannot specify this clause for an attribute of an object column. However, you can specify this clause for a object type column of a relational table and for an object column of an object table if the substitutability of the object table itself has not been set.
For a collection type column, the only part of this clause you can specify is [NOT]
SUBSTITUTABLE
AT
ALL
LEVELS
.
LOB_storage_clause
The LOB_storage_clause
lets you specify the storage attributes of LOB data segments. You must specify at least one clause after the STORE
AS
keywords. If you specify more than one clause, then you must specify them in the order shown in the syntax diagram, from top to bottom.
For a nonpartitioned table, this clause specifies the storage attributes of LOB data segments of the table.
For a partitioned table, Oracle Database implements this clause depending on where it is specified:
For a partitioned table specified at the table level—when specified in the physical_properties
clause along with one of the partitioning clauses—this clause specifies the default storage attributes for LOB data segments associated with each partition or subpartition. These storage attributes apply to all partitions or subpartitions unless overridden by a LOB_storage_clause
at the partition or subpartition level.
For an individual partition of a partitioned table—when specified as part of a table_partition_description
—this clause specifies the storage attributes of the data segments of the partition or the default storage attributes of any subpartitions of the partition. A partition-level LOB_storage_clause
overrides a table-level LOB_storage_clause
.
For an individual subpartition of a partitioned table—when specified as part of subpartition_by_hash
or subpartition_by_list
—this clause specifies the storage attributes of the data segments of the subpartition. A subpartition-level LOB_storage_clause
overrides both partition-level and table-level LOB_storage_clauses
.
Restriction on the LOB_storage_clause:
Only the TABLESPACE
clause is allowed when specifying the LOB_storage_clause
in a subpartition.
See Also:
Oracle Database SecureFiles and Large Objects Developer's Guide for detailed information about LOBs, including guidelines for creating gigabyte LOBs
LOB_item
Specify the LOB column name or LOB object attribute for which you are explicitly defining tablespace and storage characteristics that are different from those of the table. Oracle Database automatically creates a system-managed index for each LOB_item
you create.
SECUREFILE | BASICFILE
Use this clause to specify the type of LOB storage, either high-performance LOB (SecureFiles), or the traditional LOB (BasicFiles).
See Also:
Oracle Database SecureFiles and Large Objects Developer's Guide for more information about SecureFiles LOBs
Note:
You cannot convert a LOB from one type of storage to the other. Instead you must migrate to SecureFiles or BasicFiles by using online redefinition or partition exchange.
LOB_segname
Specify the name of the LOB data segment. You cannot use LOB_segname
if you specify more than one LOB_item
.
LOB_storage_parameters
The LOB_storage_parameters
clause lets you specify various elements of LOB storage.
TABLESPACE Clause
Use this clause to specify the tablespace in which LOB data is to be stored.
TABLESPACE SET Clause
This clause is valid only when creating a sharded table by specifying the SHARDED
keyword of CREATE
TABLE
. Use this clause to specify the tablespace set in which LOB data is to be stored.
storage_clause
Use the storage_clause
to specify various aspects of LOB segment storage. Of particular interest in the context of LOB storage is the MAXSIZE
clause of the storage_clause
, which can be used in combination with the LOB_retention_clause
of LOB_parameters
. Refer to storage_clause for more information.
LOB_parameters
Several of the LOB_parameters
are no longer needed if you are using SecureFiles for LOB storage. The PCTVERSION
and FREEPOOLS
parameters are valid and useful only if you are using BasicFiles LOB storage.
If you enable storage in row, then the LOB value is stored in the row (inline) if its length is less than approximately 4000 bytes minus system control information. This is the default.
Restriction on Enabling Storage in Row
For an index-organized table, you cannot specify this parameter unless you have specified an OVERFLOW
segment in the index_org_table_clause
.
If you disable storage in row, then the LOB value is stored outside of the row out of line regardless of the length of the LOB value.
The LOB locator is always stored inline regardless of where the LOB value is stored. You cannot change the value of STORAGE
IN
ROW
once it is set except by moving the table. See the move_table_clause in the ALTER
TABLE
documentation for more information.
Specify the number of bytes to be allocated for LOB manipulation. If integer
is not a multiple of the database block size, then the database rounds up in bytes to the next multiple. For example, if the database block size is 2048 and integer
is 2050, then the database allocates 4096 bytes (2 blocks). The maximum value is 32768 (32K), which is the largest Oracle Database block size allowed. The default CHUNK
size is one Oracle Database block.
The value of CHUNK
must be less than or equal to the value of NEXT
, either the default value or that specified in the storage_clause
. If CHUNK
exceeds the value of NEXT
, then the database returns an error. You cannot change the value of CHUNK
once it is set.
Specify the maximum percentage of overall LOB storage space used for maintaining old versions of the LOB. If the database is running in manual undo mode, then the default value is 10, meaning that older versions of the LOB data are not overwritten until they consume 10% of the overall LOB storage space.
You can specify the PCTVERSION
parameter whether the database is running in manual or automatic undo mode. PCTVERSION
is the default in manual undo mode. RETENTION
is the default in automatic undo mode. You cannot specify both PCTVERSION
and RETENTION
.
This clause is not valid if you have specified SECUREFILE
. If you specify both SECUREFILE
and PCTVERSION
, then the database silently ignores the PCTVERSION
parameter.
Use this clause to specify whether you want the LOB segment retained for flashback purposes, consistent-read purposes, both, or neither.
You can specify the RETENTION
parameter only if the database is running in automatic undo mode. Oracle Database uses the value of the UNDO_RETENTION
initialization parameter to determine the amount of committed undo data to retain in the database. In automatic undo mode, RETENTION
is the default value unless you specify PCTVERSION
. You cannot specify both PCTVERSION
and RETENTION
.
You can specify the optional settings after RETENTION
only if you are using SecureFiles. The SECUREFILE
parameter of the LOB_storage_clause
indicates that the database will use SecureFiles to manage storage dynamically, taking into account factors such as the undo mode of the database.
Specify MAX
to signify that the undo should be retained until the LOB segment has reached MAXSIZE
. If you specify MAX
, then you must also specify the MAXSIZE
clause in the storage_clause
.
Specify MIN
if the database is in flashback mode to limit the undo retention duration for the specific LOB segment to n
seconds.
Specify AUTO
if you want to retain undo sufficient for consistent read purposes only.
Specify NONE
if no undo is required for either consistent read or flashback purposes.
If you do not specify the RETENTION
parameter, or you specify RETENTION
with no optional settings, then RETENTION
is set to DEFAULT
, which is functionally equivalent to AUTO
.
See Also:
CREATE
TABLE
clause LOB_storage_parameters for more information on simplified LOB storage using SecureFiles
Oracle Database SecureFiles and Large Objects Developer's Guide for more information on using SecureFiles
flashback_mode_clause of ALTER
DATABASE
for information on putting a database in flashback mode
Specify the number of groups of free lists for the LOB segment. Normally integer
will be the number of instances in an Oracle Real Application Clusters environment or 1 for a single-instance database.
You can specify this parameter only if the database is running in automatic undo mode. In this mode, FREEPOOLS
is the default unless you specify the FREELIST
GROUPS
parameter of the storage_clause
. If you specify neither FREEPOOLS
nor FREELIST
GROUPS
, then the database uses a default of FREEPOOLS
1
if the database is in automatic undo management mode and a default of FREELIST
GROUPS
1
if the database is in manual undo management mode.
This clause is not valid if you have specified SECUREFILE
. If you specify both SECUREFILE
and FREEPOOLS
, then the database silently ignores the FREEPOOLS
parameter.
Restriction on FREEPOOLS
You cannot specify both FREEPOOLS
and the FREELIST
GROUPS
parameter of the storage_clause
.
This clause is valid only for SecureFiles LOBs. Use the LOB_deduplicate_clause
to enable or disable LOB deduplication, which is the elimination of duplicate LOB data.
The DEDUPLICATE
keyword instructs the database to eliminate duplicate copies of LOBs. Using a secure hash index to detect duplication, the database coalesces LOBs with identical content into a single copy, reducing storage consumption and simplifying storage management.
If you omit this clause, then LOB deduplication is disabled by default.
This clause implements LOB deduplication for the entire LOB segment. To enable or disable deduplication for an individual LOB, use the DBMS_LOB.SETOPTIONS
procedure.
See Also:
Oracle Database SecureFiles and Large Objects Developer's Guide for more information about LOB deduplication and Oracle Database PL/SQL Packages and Types Reference for information about about the DBMS_LOB
package
This clause is valid only for SecureFiles LOBs, not for BasicFiles LOBs. Use the LOB_compression_clause
to instruct the database to enable or disable server-side LOB compression. Random read/write access is possible on server-side compressed LOB segments. LOB compression is independent from table compression or index compression. If you omit this clause, then the default is NOCOMPRESS
.
You can specify HIGH
, MEDIUM
, or LOW
to vary the degree of compression. The HIGH
degree of compression incurs higher latency than MEDIUM
but provides better compression. The LOW
degree results in significantly higher decompression and compression speeds, at the cost of slightly lower compression ratio than either HIGH
or MEDIUM
. If you omit this optional parameter, then the default is MEDIUM
.
This clause implements server-side LOB compression for the entire LOB segment. To enable or disable compression on an individual LOB, use the DBMS_LOB.SETOPTIONS
procedure.
See Also:
Oracle Database SecureFiles and Large Objects Developer's Guide for more information on server-side LOB storage and Oracle Database PL/SQL Packages and Types Reference for information about client-side LOB compression using the UTL_COMPRESS
supplied package and for information about the DBMS_LOB
package
These clauses are valid only for LOBs that are using SecureFiles for LOB storage. Specify ENCRYPT
to encrypt all LOBs in the column. Specify DECRYPT
to keep the LOB in cleartext. If you omit this clause, then DECRYPT
is the default.
Refer to encryption_spec for general information on that clause. When applied to a LOB column, encryption_spec
is specific to the individual LOB column, so the encryption algorithm can differ from that of other LOB columns and other non-LOB columns. Use the encryption_spec
as part of the column_definition
to encrypt the entire LOB column. Use the encryption_spec
as part of the LOB_storage_clause
in the table_partition_description
to encrypt a LOB partition.
Restriction on encryption_spec for LOBs
You cannot specify the SALT
or NO
SALT
clauses of encryption_spec
for LOB encryption.
See Also:
Oracle Database SecureFiles and Large Objects Developer's Guide for more information on LOB encryption and Oracle Database PL/SQL Packages and Types Reference for information the DBMS_LOB
package
CACHE | NOCACHE | CACHE READS
Refer to CACHE | NOCACHE | CACHE READS for information on these clauses.
LOB_partition_storage
The LOB_partition_storage
clause lets you specify a separate LOB_storage_clause
or varray_col_properties
clause for each partition. You must specify the partitions in the order of partition position. You can find the order of the partitions by querying the PARTITION_NAME
and PARTITION_POSITION
columns of the USER_IND_PARTITIONS
view.
If you do not specify a LOB_storage_clause
or varray_col_properties
clause for a particular partition, then the storage characteristics are those specified for the LOB item at the table level. If you also did not specify any storage characteristics for the LOB item at the table level, then Oracle Database stores the LOB data partition in the same tablespace as the table partition to which it corresponds.
Restrictions on LOB_partition_storage
LOB_partition_storage
is subject to the following restrictions:
In the LOB_parameters
of the LOB_storage_clause
, you cannot specify encryption_spec
, because it is invalid to specify an encryption algorithm for partitions and subpartitions.
You can only specify the TABLESPACE
clause for hash partitions and all types of subpartitions.
varray_col_properties
The varray_col_properties
let you specify separate storage characteristics for the LOB in which a varray will be stored. If varray_item
is a multilevel collection, then the database stores all collection items nested within varray_item
in the same LOB in which varray_item
is stored.
For a nonpartitioned table—when specified in the physical_properties
clause without any of the partitioning clauses—this clause specifies the storage attributes of the LOB data segments of the varray.
For a partitioned table specified at the table level—when specified in the physical_properties
clause along with one of the partitioning clauses—this clause specifies the default storage attributes for the varray LOB data segments associated with each partition (or its subpartitions, if any).
For an individual partition of a partitioned table—when specified as part of a table_partition_description
—this clause specifies the storage attributes of the varray LOB data segments of that partition or the default storage attributes of the varray LOB data segments of any subpartitions of this partition. A partition-level varray_col_properties
overrides a table-level varray_col_properties
.
For an individual subpartition of a partitioned table—when specified as part of subpartition_by_hash
or subpartition_by_list
—this clause specifies the storage attributes of the varray data segments of this subpartition. A subpartition-level varray_col_properties
overrides both partition-level and table-level varray_col_properties
.
STORE AS [SECUREFILE | BASICFILE] LOB Clause
If you specify STORE
AS
LOB
, then:
If the maximum varray size is less than approximately 4000 bytes, then the database stores the varray as an inline LOB unless you have disabled storage in row.
If the maximum varray size is greater than approximately 4000 bytes or if you have disabled storage in row, then the database stores in the varray as an out-of-line LOB.
If you do not specify STORE
AS
LOB
, then storage is based on the maximum possible size of the varray rather than on the actual size of a varray column. The maximum size of the varray is the number of elements times the element size, plus a small amount for system control information. If you omit this clause, then:
If the maximum size of the varray is less than approximately 4000 bytes, then the database does not store the varray as a LOB, but as inline data.
If the maximum size is greater than approximately 4000 bytes, then the database always stores the varray as a LOB.
If the actual size is less than approximately 4000 bytes, then it is stored as an inline LOB
If the actual size is greater than approximately 4000 bytes, then it is stored as an out-of-line LOB, as is true for other LOB columns.
substitutable_column_clause
The substitutable_column_clause
has the same behavior as described for object_type_col_properties.
See Also:
Restriction on Varray Column Properties
You cannot specify this clause on an interval partitioned table.
nested_table_col_properties
The nested_table_col_properties
let you specify separate storage characteristics for a nested table, which in turn enables you to define the nested table as an index-organized table. Unless you explicitly specify otherwise in this clause:
For a nonpartitioned table, the storage table is created in the same schema and the same tablespace as the parent table.
For a partitioned table, the storage table is created in the default tablespace of the schema. By default, nested tables are equipartitioned with the partitioned base table.
In either case, the storage table uses default storage characteristics, and stores the nested table values of the column for which it was created.
You must include this clause when creating a table with columns or column attributes whose type is a nested table. Clauses within nested_table_col_properties
that function the same way they function for the parent table are not repeated here.
nested_item
Specify the name of a column, or of a top-level attribute of the object type of the tables, whose type is a nested table.
If the nested table is a multilevel collection, then the inner nested table or varray may not have a name. In this case, specify COLUMN_VALUE
in place of the nested_item
name.
See Also:
"Creating a Table: Multilevel Collection Example" for examples using nested_item
and COLUMN_VALUE
LOCAL | GLOBAL
Specify LOCAL
to equipartition the nested table with the base table. This is the default. Oracle Database automatically creates a local partitioned index for the partitioned nested table.
Specify GLOBAL
to indicate that the nested table is a nonpartitioned nested table of a partitioned base table.
storage_table
Specify the name of the table where the rows of nested_item
reside.
You cannot query or perform DML statements on storage_table
directly, but you can modify its storage characteristics by specifying its name in an ALTER
TABLE
statement.
See Also:
ALTER TABLE for information about modifying nested table column storage characteristics
RETURN [AS]
Specify what Oracle Database returns as the result of a query.
VALUE
returns a copy of the nested table itself.
LOCATOR
returns a collection locator to the copy of the nested table.
The locator is scoped to the session and cannot be used across sessions. Unlike a LOB locator, the collection locator cannot be used to modify the collection instance.
If you do not specify the segment_attributes_clause
or the LOB_storage_clause
, then the nested table is heap organized and is created with default storage characteristics.
Restrictions on Nested Table Column Properties
Nested table column properties are subject to the following restrictions:
You cannot specify this clause for a temporary table.
You cannot specify this clause on an interval partitioned table.
You cannot specify the oid_clause
.
At create time, you cannot use object_properties
to specify an out_of_line_ref_constraint
, inline_ref_constraint
, or foreign key constraint for the attributes of a nested table. However, you can modify a nested table to add such constraints using ALTER
TABLE
.
See Also:
ALTER TABLE for information about modifying nested table column storage characteristics
"Nested Table Example" and "Creating a Table: Multilevel Collection Example"
XMLType_column_properties
The XMLType_column_properties
let you specify storage attributes for an XMLTYPE
column.
XMLType_storage
XMLType
data can be stored in binary XML, CLOB
, or object-relational columns.
Specify BINARY
XML
to store the XML data in compact binary XML format.
Any LOB parameters you specify are applied to the underlying BLOB
column created for storing the binary XML encoded value.
In earlier releases, binary XML data is stored by default in a BasicFiles LOB. Beginning with Oracle Database 11g Release 2 (11.2.0.2), if the COMPATIBLE
initialization parameter is 11.2 or higher and you do not specify BASICFILE
or SECUREFILE
, then binary XML data is stored in a SecureFiles LOB whenever possible. If SecureFiles LOB storage is not possible then the binary XML data is stored in a BasicFiles LOB. This can occur if either of the following is true:
The tablespace for the XMLType
table does not use automatic segment space management.
A setting in file init
.ora
prevents SecureFiles LOB storage. For example, see parameter DB_SECUREFILE
in Oracle Database Reference.
Specify CLOB
if you want the database to store the XMLType
data in a CLOB
column. Storing data in a CLOB
column preserves the original content and enhances retrieval time.
If you specify LOB storage, then you can specify either LOB parameters or the XMLSchema_spec
clause, but not both. Specify the XMLSchema_spec
clause if you want to restrict the table or column to particular schema-based XML instances.
If you do not specify BASICFILE
or SECUREFILE
with this clause, then the CLOB
column is stored in a BasicFiles LOB.
Note:
Oracle recommends against storing XMLType
data in a CLOB
column. CLOB
storage of XMLType
is deprecated. Use binary XML storage of XMLType
instead.
Specify OBJECT
RELATIONAL
if you want the database to store the XMLType
data in object-relational columns. Storing data objects relationally lets you define indexes on the relational columns and enhances query performance.
If you specify object-relational storage, then you must also specify the XMLSchema_spec
clause.
Use the ALL
VARRAYS
AS
clause if you want the database to store all varrays in an XMLType
column.
In earlier releases, XMLType
data is stored in a CLOB
column in a BasicFiles LOB by default. Beginning with Oracle Database 11g Release 2 (11.2.0.2), if the COMPATIBLE
initialization parameter is 11.2 or higher and you do not specify the XMLType_storage
clause, then XMLType
data is stored in a binary XML column in a SecureFiles LOB. If SecureFiles LOB storage is not possible, then it is stored in a binary XML column in a BasicFiles LOB.
See Also:
Oracle Database SecureFiles and Large Objects Developer's Guide for more information on SecureFiles LOBs
XMLSchema_spec
Refer to the XMLSchema_spec for the full semantics of this clause.
See Also:
LOB_storage_clause for information on the LOB_segname
and LOB_parameters
clauses
"XMLType Column Examples" for examples of XMLType
columns in object-relational tables and "Using XML in SQL Statements" for an example of creating an XMLSchema
Oracle XML DB Developer's Guide for more information on XMLType
columns and tables and on creating XMLSchemas
Oracle Database PL/SQL Packages and Types Reference for information on the DBMS_XMLSCHEMA
package
XMLType_virtual_columns
This clause is valid only for XMLType
tables with binary XML storage, which you designate in the XMLType_storage
clause. Specify the VIRTUAL
COLUMNS
clause to define virtual columns, which can be used as in a function-based index or in the definition of a constraint. You cannot define a constraint on such a virtual column during creation of the table, but you can use a subsequent ALTER
TABLE
statement to add a constraint to the column.
See Also:
Oracle XML DB Developer's Guide for examples of how to use this clause in an XML environment
read_only_clause
This clause lets you specify whether to create a table, partition, or subpartition in read-only or read/write mode.
Use READ
ONLY
to specify read-only mode. When an object is in read-only mode, you cannot issue any DML statements that affect the object or any SELECT
... FOR
UPDATE
... statements on the object. You can issue DDL statements as long as they do not modify any table data. See Oracle Database Administrator’s Guide for the complete list of operations that are allowed and disallowed on read-only objects.
Use READ
WRITE
to specify read/write mode. This is the default.
When you specify this clause for a partitioned table, you specify the default read-only or read/write mode for the table. This mode is assigned to all partitions in the table at creation time, as well as any partitions that are subsequently added to the table, unless you override this behavior by specifying the mode at the partition level.
When you specify this clause for a composite-partitioned table, you specify the default read-only or read/write mode for all partitions in the table. You can override this behavior by specifying this clause for a particular partition. The default mode of a partition is assigned to all subpartitions in the partition at creation time, as well as any subpartitions that are subsequently added to the partition, unless you override this behavior by specifying the mode at the subpartition level.
indexing_clause
The indexing_clause
is valid only for partitioned tables. Use this clause to set the indexing property for a table, table partition, or table subpartition.
Specify INDEXING
ON
to set the indexing property to ON
. This is the default.
Specify INDEXING
OFF
to set the indexing property to OFF
.
The indexing property determines whether table partitions and subpartitions are included in partial indexes on the table.
For simple partitioned tables, partitions with an indexing property of ON
are included in partial indexes on the table. Partitions with an indexing property of OFF
are excluded.
For composite-partitioned tables, subpartitions with an indexing property of ON
are included in partial indexes on the table. Subpartitions with an indexing property of OFF
are excluded.
You can specify the indexing_clause
at the table, partition, or subpartition level. When you specify the indexing_clause
at the table level, in the table_properties
clause, you set the default indexing property for the table. Interval partitions, which are automatically created by the database, always inherit the default indexing property for the table. Other types of partitions and subpartitions inherit the default indexing property as follows:
For simple partitioned tables, partitions inherit the default indexing property for the table. You can override this behavior by specifying the indexing_clause
for an individual partition:
For a range partition, in the table_partition_description
of the range_partitions
clause
For a hash partition, in the individual_hash_partitions
clause of the hash_partitions
clause
For a list partition, in the table_partition_description
of the list_partitions
clause
For a reference partition, in the table_partition_description
of the reference_partition_desc
clause of the reference_partitioning
clause
For a system partition, in the table_partition_description
of the reference_partition_desc
clause of the system_partitioning
clause
For composite-partitioned tables, subpartitions inherit the default indexing property for the table. You can override this behavior by specifying the indexing_clause
for an individual partition or subpartition.
If you specify the indexing_clause
for a partition, then its subpartitions inherit the indexing property of the partition:
For composite range partitions, in the table_partition_description
of the composite_range_partitions
clause
For composite list partitions, in the table_partition_description
of the composite_list_partitions
clause
For composite hash partitions, in the individual_hash_partitions
clause of the composite_hash_partitions
clause
You can set the indexing property of a subpartition by specifying the indexing_clause
for the subpartition:
For range subpartitions, in the range_subpartition_desc
clause of the composite_range_partitions
clause
For list subpartitions, in the list_subpartition_desc
clause of the composite_list_partitions
clause
For hash subpartitions, in the individual_hash_subparts
clause of the composite_hash_partitions
clause
See Also:
Oracle Database Reference for information on viewing the indexing property of a table, table partition, or table subpartition.
To view the default indexing property of a table, query the DEF_INDEXING
column of the *_PART_TABLES
views.
To view the indexing property of a table partition, query the INDEXING
column of the *_TAB_PARTITIONS
views.
To view the indexing property of a table subpartition, query the INDEXING
column of the *_TAB_SUBPARTITIONS
views.
Restrictions on the indexing_clause
The indexing_clause
is subject to the following restrictions:
You cannot specify the indexing_clause
for nonpartitioned tables.
You cannot specify the indexing_clause
for index-organized tables.
See Also:
The partial_index_clause of CREATE
INDEX
for more information on partial indexes
table_partitioning_clauses
Use the table_partitioning_clauses
to create a partitioned table.
Notes on Partitioning in General
The following notes pertain to all types of partitioning:
You can specify up to a total of 1024K-1 partitions and subpartitions.
You can create a partitioned table with just one partition. A table with one partition is different from a nonpartitioned table. For example, you cannot add a partition to a nonpartitioned table.
You can specify a name for every table and LOB partition and for every table and LOB subpartition, but you need not do so. If you specify a name, then it must conform to the rules for naming schema objects and their parts as described in Database Object Naming Rules. If you omit the name, then the database generates names as follows:
If you omit a partition name, then the database generates a name of the form SYS_P
n
. System-generated names for LOB data and LOB index partitions take the form SYS_LOB_P
n
and SYS_IL_P
n
, respectively.
If you specify a subpartition name in subpartition_template
, then for each subpartition created with that template, the database generates a name by concatenating the partition name with the template subpartition name. For LOB subpartitions, the generated LOB subpartition name is a concatenation of the partition name and the template LOB segment name. If the COMPATIBLE
initialization parameter is set to 12
.2
or higher, then the maximum length of the concatenation is 128 bytes; otherwise, the maximum length is 30 bytes. If the concatenation exceeds the maximum length, then the database returns an error and the statement fails.
If you omit a subpartition name when specifying an individual subpartition, and you have not specified subpartition_template
, then the database generates a name of the form SYS_SUBP
n
. The corresponding system-generated names for LOB data and index subpartitions are SYS_LOB_SUBP
n
and SYS_IL_SUBP
n
, respectively.
Tablespace storage can be specified at various levels in the CREATE
TABLE
statement for both table segments and LOB segments. The number of tablespaces does not have to equal the number of partitions or subpartitions. If the number of partitions or subpartitions is greater than the number of tablespaces, then the database cycles through the names of the tablespaces.
The database evaluates tablespace storage in the following order of descending priority:
Tablespace storage specified at the individual table subpartition or LOB subpartition level has the highest priority, followed by storage specified for the partition or LOB in the subpartition_template
.
Tablespace storage specified at the individual table partition or LOB partition level. Storage parameters specified here take precedence over the subpartition_template
.
Tablespace storage specified for the table
Default tablespace storage specified for the user
By default, nested tables are equipartitioned with the partitioned base table.
Restrictions on Partitioning in General
All partitioning is subject to the following restrictions:
You cannot partition a table that is part of a cluster.
You cannot partition a nested table or varray that is defined as an index-organized table.
You cannot partition a table containing any LONG
or LONG
RAW
columns.
The storage of partitioned database entities in tablespaces of different block sizes is subject to several restrictions. Refer to Oracle Database VLDB and Partitioning Guide for a discussion of these restrictions.
See Also:
range_partitions
Use the range_partitions
clause to partition the table on ranges of values from the column list. For an index-organized table, the column list must be a subset of the primary key columns of the table.
Restrictions on Range Partitioning
Range partitioning is subject to the restrictions listed in "Restrictions on Partitioning in General". The following additional restrictions apply:
You cannot specify more than 16 partitioning key columns.
Partitioning key columns must be of type CHAR
, NCHAR
, VARCHAR2
, NVARCHAR2
, VARCHAR
, NUMBER
, FLOAT
, DATE
, TIMESTAMP
, TIMESTAMP
WITH
LOCAL
TIMEZONE
, or RAW
.
Each partitioning key column with a character data type must have one of the following declared collations: BINARY
, USING_NLS_COMP
, USING_NLS_SORT
, or USING_NLS_SORT_CS
. For all these collations, partition bounds are checked using the collation BINARY
.
You cannot specify NULL in the VALUES
clause.
column
Specify an ordered list of columns used to determine into which partition a row belongs. These columns are the partitioning key. You can specify virtual columns and INVISIBLE
columns as partitioning key columns.
Use this clause to establish interval partitioning for the table. Interval partitions are partitions based on a numeric range or datetime interval. They extend range partitioning by instructing the database to create partitions of the specified range or interval automatically when data inserted into the table exceeds all of the range partitions. For each automatically created partition, the database generates a name of the form SYS_P
n
. The database guarantees that automatically generated partition names are unique and do not violate namespace rules.
For expr
, specify a valid number or interval expression.
The optional STORE
IN
clause lets you specify one or more tablespaces into which the database will store interval partition data.
You must also specify at least one range partition using the PARTITION
clause of range_partitions
. The range partition key value determines the high value of the range partitions, which is called the transition point, and the database creates interval partitions for data beyond that transition point.
Restrictions on Interval Partitioning
The INTERVAL
clause is subject to the restrictions listed in "Restrictions on Partitioning in General" and "Restrictions on Range Partitioning". The following additional restrictions apply:
You can specify only one partitioning key column, and it must be of type NUMBER
, DATE
, FLOAT
, or TIMESTAMP
.
This clause is not supported for index-organized tables.
This clause is not supported for tables containing varray columns.
You cannot create an interval-partitioned table with equipartitioned nested tables. If you create an interval-partitioned table using nested tables or XML object-relational data types, then the nested tables will be created as nonpartitioned tables.
This clause is supported for tables containing XMLType
columns only if the XML data is stored as binary XML.
Interval partitioning is not supported at the subpartition level.
Serializable transactions do not work with interval partitioning. Trying to insert data into a partition of an interval partitioned table that does not yet have a segment causes an error.
In the VALUES
clause:
You cannot specify MAXVALUE
(an infinite upper bound), because doing so would defeat the purpose of the automatic addition of partitions as needed.
You cannot specify NULL
values for the partitioning key column.
See Also:
Oracle Database VLDB and Partitioning Guide for more information on interval partitioning
PARTITION partition
If you specify a partition name, then the name partition
must conform to the rules for naming schema objects and their part as described in "Database Object Naming Rules". If you omit partition
, then the database generates a name as described in "Notes on Partitioning in General".
range_values_clause
Specify the noninclusive upper bound for the current partition. The value list is an ordered list of literal values corresponding to the column list in the range_partitions
clause. You can substitute the keyword MAXVALUE
for any literal in the value list. MAXVALUE
specifies a maximum value that will always sort higher than any other value, including null.
Specifying a value other than MAXVALUE
for the highest partition bound imposes an implicit integrity constraint on the table.
Note:
If table
is partitioned on a DATE
column, and if the date format does not specify the first two digits of the year, then you must use the TO_DATE
function with the YYYY
4-character format mask for the year. The RRRR
format mask is not supported in this clause. The date format is determined implicitly by NLS_TERRITORY
or explicitly by NLS_DATE_FORMAT
. Refer to Oracle Database Globalization Support Guide for more information on these initialization parameters.
See Also:
Oracle Database Concepts for more information about partition bounds and "Range Partitioning Example"
table_partition_description
Use the table_partition_description
to define the physical and storage characteristics of the table.
The clauses deferred_segment_creation
, segment_attributes_clause
, table_compression
, inmemory_clause
, and ilm_clause
have the same function as described for the physical_properties of the table as a whole.
Use the indexing_clause
to set the indexing property for a range, list, system, or reference table partition. Refer to the indexing_clause for more information.
The prefix_compression
clause and OVERFLOW
clause, have the same function as described for the index_org_table_clause.
LOB_storage_clause
The LOB_storage_clause
lets you specify LOB storage characteristics for one or more LOB items in this partition or in any range or list subpartitions of this partition. If you do not specify the LOB_storage_clause
for a LOB item, then the database generates a name for each LOB data partition as described in "Notes on Partitioning in General".
varray_col_properties
The varray_col_properties
let you specify storage characteristics for one or more varray items in this partition or in any range or list subpartitions of this partition.
nested_table_col_properties
The nested_table_col_properties
let you specify storage characteristics for one or more nested table storage table items in this partition or in any range or list subpartitions of this partition. Storage characteristics specified in this clause override any storage attributes specified at the table level.
partitioning_storage_clause
Use the partitioning_storage_clause
to specify storage characteristics for hash partitions and for range, hash, and list subpartitions.
Restrictions on partitioning_storage_clause
This clause is subject to the following restrictions:
The TABLESPACE
SET
clause is valid only when creating a sharded table by specifying the SHARDED
keyword of CREATE
TABLE
. Use this clause to specify the tablespace set in which table partition data is to be stored.
The OVERFLOW
clause is relevant only for index-organized partitioned tables and is valid only within the individual_hash_partitions
clause. It is not valid for range or hash partitions or for subpartitions of any type.
You cannot specify the advanced_index_compression
clause of the index_compression
clause.
You can specify the prefix_compression
clause of the indexing_clause
only for partitions of index-organized tables and you can specify COMPRESS
or NOCOMPRESS
, but you cannot specify the prefix length with integer
.
list_partitions
Use the list_partitions
clause to partition the table on a list of literal values for each column in the column
list. List partitioning is useful for controlling how individual rows map to specific partitions.
Restrictions on List Partitioning
List partitioning is subject to the restrictions listed in "Restrictions on Partitioning in General". The following additional restrictions apply:
You cannot specify more than 16 partitioning key columns.
You cannot specify more than one partitioning key column when partitioning an index-organized table.
The partitioning key columns must be of type CHAR
, NCHAR
, VARCHAR2
, NVARCHAR2
, VARCHAR
, NUMBER
, FLOAT
, DATE
, TIMESTAMP
, TIMESTAMP
WITH
LOCAL
TIMEZONE
, or RAW
.
Each partitioning key column with a character data type must have one of the following declared collations: BINARY
, USING_NLS_COMP
, USING_NLS_SORT
, or USING_NLS_SORT_CS
. For all these collations, partitions are selected using the collation BINARY
.
AUTOMATIC
Specify AUTOMATIC
to create an automatic list-partitioned table. This type of table enables the database to create additional partitions on demand.
When you create an automatic list-partitioned table, you specify partitions and partitioning key values just as you would when creating a regular list-partitioned table. However, you do not specify a DEFAULT
partition. As data is loaded into the table, the database automatically creates a new partition when the loaded partitioning key values do not correspond to any of the existing partitions. If list partitioning is defined with a single partitioning key value, then the database creates a new partition for each new partitioning key value. If list partitioning is defined with multiple partitioning key columns, then the database creates a new partition for each new and unique set of partitioning key values. For each automatically created partition, the database generates a name of the form SYS_P
n
. The database guarantees that automatically generated partition names are unique and do not violate namespace rules.
You can specify the AUTOMATIC
keyword for list-partitioned tables, and list-range, list-list, list-hash, and list-interval composite-partitioned tables. For composite-partitioned tables, each automatically created list partition will have one subpartition, unless a subpartition template is defined for the table.
If a local partitioned index is defined on an automatic list-partitioned table, then local index partitions will be created when the corresponding table partitions are created.
Restrictions on Automatic List Partitioning
Automatic list partitioning is subject to the restrictions listed in "Restrictions on List Partitioning". The following additional restrictions apply:
An automatic list-partitioned table must have at least one partition when created. Because new partitions are automatically created for new, and unknown, partitioning key values, an automatic list-partitioned table cannot have a DEFAULT
partition.
Automatic list partitioning is not supported for index-organized tables or external tables.
Automatic list partitioning is not supported for tables containing varray columns.
You cannot create a local domain index on an automatic list-partitioned table. You can create a global domain index on an automatic list-partitioned table.
An automatic list-partitioned table cannot be a child table or a parent table for reference partitioning.
Automatic list partitioning is not supported at the subpartition level.
STORE IN
The optional STORE
IN
clause lets you specify one or more tablespaces into which the database will store data for the automatically created list partitions.
Note:
You can change an automatic list-partitioned table to a regular list-partitioned table, and vice versa. You can also change the tablespaces into which the database will store data for automatically created list partitions. See the clause alter_automatic_partitioning of ALTER
TABLE
for more information.
list_values_clause
The list_values_clause
of each partition must have at least one value. If the table is partitioned on one key column, then use the upper branch of the list_values
syntax to specify a list of values for that column. In this case, no value, including NULL, can appear in more than one partition. If the table is partitioned on multiple key columns, then use the lower branch of the list_values
syntax to specify a list of value lists. Each value list is enclosed in parentheses and represents a list of values for the key columns. In this case, individual key column values can appear in more than one partition; however, no complete value list can appear in more than one partition. List partitions are not ordered.
If you specify the literal NULL
for a partition value in the VALUES
clause, then to access data in that partition in subsequent queries, you must use an IS
NULL
condition in the WHERE
clause, rather than a comparison condition.
The DEFAULT
keyword creates a partition into which the database will insert any row that does not map to another partition. Therefore, you can specify DEFAULT
for only one partition, and you cannot specify any other values for that partition. Further, the default partition must be the last partition you define. The use of DEFAULT
is similar to the use of MAXVALUE
for range partitions.
The string comprising the list of values for each partition can be up to 4K bytes. The total number of values for all partitions cannot exceed 64K-1.
The partitioning key column for a list partition can be an extended data type column, which has a maximum size of 32767 bytes. In this case, the list of values that you want to specify for a partition may exceed the 4K byte limit. You can work around this limitation by using one of the following methods:
Use the DEFAULT
partition for values that exceed the 4K byte limit.
Use a hash function, such as STANDARD_HASH
, in the partition key column to create unique identifiers of lengths less than 4K bytes. See STANDARD_HASH for more information.
Restriction on the list_values_clause
You cannot specify a DEFAULT
partition for an automatic list-partitioned table.
See Also:
"Extended Data Types" for more information on extended data types
table_partition_description
The subclauses of the table_partition_description
have the same behavior as described for range partitions in table_partition_description.
hash_partitions
Use the hash_partitions
clause to specify that the table is to be partitioned using the hash method. Oracle Database assigns rows to partitions using a hash function on values found in columns designated as the partitioning key. You can specify individual hash partitions, or you can specify how many hash partitions the database should create.
Restrictions on Hash Partitioning
Hash partitioning is subject to the restrictions listed in "Restrictions on Partitioning in General". The following additional restrictions apply:
You cannot specify more than 16 partitioning key columns.
Partitioning key columns must be of type CHAR
, NCHAR
, VARCHAR2
, NVARCHAR2
, VARCHAR
, NUMBER
, FLOAT
, DATE
, TIMESTAMP
, TIMESTAMP
WITH
LOCAL
TIMEZONE
, or RAW
.
column
Specify an ordered list of columns used to determine into which partition a row belongs (the partitioning key).
individual_hash_partitions
Use this clause to specify individual partitions by name.
Use the indexing_clause
to set the indexing property for a hash partition. Refer to the indexing_clause for more information.
Restriction on Specifying Individual Hash Partitions
The only clauses you can specify in the partitioning_storage_clause
are the TABLESPACE
clause and table compression.
Note:
If your enterprise has or will have databases using different character sets, then use caution when partitioning on character columns. The sort sequence of characters is not identical in all character sets. Refer to Oracle Database Globalization Support Guide for more information on character set support.
hash_partitions_by_quantity
An alternative to defining individual partitions is to specify the number of hash partitions. In this case, the database assigns partition names of the form SYS_P
n
. The STORE
IN
clause lets you specify one or more tablespaces where the hash partition data is to be stored. The number of tablespaces need not equal the number of partitions. If the number of partitions is greater than the number of tablespaces, then the database cycles through the names of the tablespaces.
For both methods of hash partitioning, for optimal load balancing you should specify a number of partitions that is a power of 2. When you specify individual hash partitions, you can specify both TABLESPACE
and table compression in the partitioning_storage_clause
. When you specify hash partitions by quantity, you can specify only TABLESPACE
. Hash partitions inherit all other attributes from table-level defaults.
The table_compression
clause has the same function as described for the table_properties of the table as a whole.
The prefix_compression
clause and the OVERFLOW
clause have the same function as described for the index_org_table_clause.
Tablespace storage specified at the table level is overridden by tablespace storage specified at the partition level, which in turn is overridden by tablespace storage specified at the subpartition level.
In the individual_hash_partitions
clause, the TABLESPACE
clause of the partitioning_storage_clause
determines tablespace storage only for the individual partition being created. In the hash_partitions_by_quantity
clause, the STORE
IN
clause determines placement of partitions as the table is being created and the default storage location for subsequently added partitions.
Restriction on Specifying Hash Partitions by Quantity
You cannot specify the advanced_index_compression
clause of the index_compression
clause.
See Also:
Oracle Database VLDB and Partitioning Guide for more information on hash partitioning
composite_range_partitions
Use the composite_range_partitions
clause to first partition table
by range, and then partition the partitions further into range, hash, or list subpartitions.
The INTERVAL
clause has the same semantics for composite range partitioning that it has for range partitioning. Refer to "INTERVAL Clause" for more information.
Specify subpartition_by_range, subpartition_by_hash or subpartition_by_list to indicate the type of subpartitioning you want for each composite range partition. Within these clauses you can specify a subpartition template, which establishes default subpartition characteristics for subpartitions created as part of this statement or subsequently created subpartitions.
After establishing the type of subpartitioning you want for the table, and optionally a subpartition template, you must define at least one range partition.
You must specify the range_values_clause, which has the same requirements as for noncomposite range partitions.
Use the table_partition_description to define the physical and storage characteristics of the each partition.
In the range_partition_desc
, use range_subpartition_desc
, list_subpartition_desc
, individual_hash_subparts
, or hash_subparts_by_quantity
to specify characteristics for the individual subpartitions of the partition. The values you specify in these clauses supersede for these subpartitions any values you have specified in the subpartition_template
.
The only characteristics you can specify for a hash or list subpartition or any LOB subpartition are TABLESPACE
and table_compression
.
Restrictions on Composite Range Partitioning
Regardless of the type of subpartitioning, composite range partitioning is subject to the following restrictions:
The only physical attributes you can specify at the subpartition level are TABLESPACE
and table compression.
You cannot specify composite partitioning for an index-organized table. Therefore, the OVERFLOW
clause of the table_partition_description
is not valid for composite-partitioned tables.
You cannot specify composite partitioning for tables containing XMLType
columns.
See Also:
"Composite-Partitioned Table Examples" for examples of composite range partitioning and Oracle Database VLDB and Partitioning Guide for examples of composite list partitioning
composite_list_partitions
Use the composite_list_partitions
clause to first partition table
by list, and then partition the partitions further into range, hash, or list subpartitions.
Specify subpartition_by_range, subpartition_by_hash or subpartition_by_list to indicate the type of subpartitioning you want for each composite list partition. Within these clauses you can specify a subpartition template, which establishes default subpartition characteristics for subpartitions created as part of this statement and for subsequently created subpartitions.
After establishing the type of subpartitioning you want for each composite partition, and optionally defining a subpartition template, you must define at least one list partition.
In the list_partition_desc
, you must specify the list_values_clause, which has the same requirements as for noncomposite list partitions.
Use the table_partition_description to define the physical and storage characteristics of the each partition.
In the list_partition_desc
, use range_subpartition_desc
, list_subpartition_desc
, individual_hash_subparts
, or hash_subparts_by_quantity
to specify characteristics for the individual subpartitions of the partition. The values you specify in these clauses supersede the for these subpartitions any values you have specified in the subpartition_template
.
Specify AUTOMATIC
to create an automatic list-range, list-list, list-hash, or list-interval composite-partitioned table. This type of table enables the database to create additional partitions on demand. The optional STORE
IN
clause lets you specify one or more tablespaces into which the database will store data for the automatically created partitions. The AUTOMATIC
and STORE
IN
clauses have the same semantics here as they have for noncomposite list partitions. Refer to AUTOMATIC and STORE IN in the documentation on list_partitions
for the full semantics of these clauses. Automatic composite-partitioned tables are subject to the restrictions listed in Restrictions on Composite List Partitioning and Restrictions on Automatic List Partitioning.
Restrictions on Composite List Partitioning
Composite list partitioning is subject to the same restrictions as described in "Restrictions on Composite Range Partitioning".
composite_hash_partitions
Use the composite_hash_partitions
clause to first partition table
using the hash method, and then partition the partitions further into range, hash, or list subpartitions.
Specify subpartition_by_range, subpartition_by_hash or subpartition_by_list to indicate the type of subpartitioning you want for each composite range partition. Within these clauses you can specify a subpartition template, which establishes default subpartition characteristics for subpartitions created as part of this statement or subsequently created subpartitions.
After establishing the type of subpartitioning you want for the table, you must specify individual_hash_partitions or hash_partitions_by_quantity.
Restrictions on Composite Hash Partitioning
Composite hash partitioning is subject to the same restrictions as described in "Restrictions on Composite Range Partitioning".
subpartition_template
The subpartition_template
is an optional element of range, list, and hash subpartitioning. The template lets you define default subpartitions for each table partition. Oracle Database will create these default subpartition characteristics in any partition for which you do not explicitly define subpartitions. This clause is useful for creating symmetric partitions. You can override this clause by explicitly defining subpartitions at the partition level, in the range_subpartition_desc
, list_subpartition_desc
, individual_hash_subparts
, or hash_subparts_by_quantity
clause.
When defining subpartitions with a template, you can explicitly define range, list, or hash subpartitions, or you can define a quantity of hash subpartitions.
To explicitly define subpartitions, use range_subpartition_desc
, list_subpartition_desc
, or individual_hash_subparts
. You must specify a name for each subpartition. If you specify the LOB_partitioning_clause
of the partitioning_storage_clause
, then you must specify LOB_segname
.
To define a quantity of hash subpartitions, specify a positive integer for hash_subpartition_quantity
. The database creates that number of subpartitions in each partition and assigns subpartition names of the form SYS_SUBP
n
.
Note:
When you specify tablespace storage for the subpartition template, it does not override any tablespace storage you have specified explicitly for the partitions of table
. To specify tablespace storage for subpartitions, do one of these things:
Omit tablespace storage at the partition level and specify tablespace storage in the subpartition template.
Define individual subpartitions with specific tablespace storage.
Restrictions on Subpartition Templates
Subpartition templates are subject to the following restrictions:
If you specify TABLESPACE
for one LOB subpartition, then you must specify TABLESPACE
for all of the LOB subpartitions of that LOB column. You can specify the same tablespace for more than one LOB subpartition.
If you specify separate LOB storage for list subpartitions using the partitioning_storage_clause
, either in the subpartition_template
or when defining individual subpartitions, then you must specify LOB_segname
for both LOB and varray columns.
subpartition_by_range
Use the subpartition_by_range
clause to indicate that the database should subpartition by range each partition in table
. The subpartitioning column list is unrelated to the partitioning key but is subject to the same restrictions (see column).
You can use the subpartition_template
to specify default subpartition characteristic values. See subpartition_template. The database uses these values for any subpartition in this partition for which you do not explicitly specify the characteristic.
You can also define range subpartitions individually for each partition using the range_subpartition_desc
of range_partition_desc
or list_partition_desc
. If you omit both subpartition_template
and the range_subpartition_desc
, then the database creates a single MAXVALUE
subpartition.
subpartition_by_list
Use the subpartition_by_list
clause to indicate that the database should subpartition each partition in the table on lists of literal values from the column
list. You can specify a maximum of 16 list subpartitioning key columns.
You can use the subpartition_template
to specify default subpartition characteristic values. See subpartition_template. The database uses these values for any subpartition in this partition for which you do not explicitly specify the characteristic.
You can also define list subpartitions individually for each partition using the list_subpartition_desc
of range_partition_desc
or list_partition_desc
. If you omit both subpartition_template
and the list_subpartition_desc
, then the database creates a single DEFAULT
subpartition.
Restrictions on List Subpartitioning
List subpartitioning is subject to the same restrictions as described in Restrictions on Composite Range Partitioning.
subpartition_by_hash
Use the subpartition_by_hash
clause to indicate that the database should subpartition by hash each partition in table
. The subpartitioning column list is unrelated to the partitioning key but is subject to the same restrictions (see column).
You can define the subpartitions using the subpartition_template
or the SUBPARTITIONS
integer
clause. See subpartition_template. In either case, for optimal load balancing you should specify a number of partitions that is a power of 2.
If you specify SUBPARTITIONS
integer
, then you determine the default number of subpartitions in each partition of table
, and optionally one or more tablespaces in which they are to be stored. The default value is 1. If you omit both this clause and subpartition_template
, then the database will create each partition with one hash subpartition.
Notes on Composite Partitions
The following notes apply to composite partitions:
For all subpartitions, you can use the range_subpartition_desc
, list_subpartition_desc
, individual_hash_subparts
, or hash_subparts_by_quantity
to specify individual subpartitions by name, and optionally some other characteristics.
Alternatively, for hash and list subpartitions:
You can specify the number of subpartitions and optionally one or more tablespaces where they are to be stored. In this case, Oracle Database assigns subpartition names of the form SYS_SUBPn
.
If you omit the subpartition description and if you have created a subpartition template, then the database uses the template to create subpartitions. If you have not created a subpartition template, then the database creates one hash subpartition or one DEFAULT
list subpartition.
For all types of subpartitions, if you omit the subpartitions description entirely, then the database assigns subpartition names as follows:
If you have specified a subpartition template and you have specified partition names, then the database generates subpartition names of the form partition_name
underscore (_) subpartition_name
(for example, P1_SUB1
).
If you have not specified a subpartition template or if you have specified a subpartition template but did not specify partition names, then the database generates subpartition names of the form SYS_SUBP
n
.
reference_partitioning
Use this clause to partition the table by reference. Partitioning by reference is a method of equipartitioning the table being created (the child table) by a referential constraint to an existing partitioned table (the parent table). When you partition a table by reference, partition maintenance operations subsequently performed on the parent table automatically cascade to the child table. Therefore, you cannot perform partition maintenance operations on a reference-partitioned table directly.
If the parent table is an interval-partitioned table, then partitions in the reference-partitioned child table that correspond to interval partitions in the parent table will be created during inserts into the child table. When an interval partition in a child table is created, the partition name is inherited from the associated parent table partition. If the child table has a table-level default tablespace, then it will be used as the tablespace for the new interval partition. Otherwise, the tablespace will be inherited from the parent table partition. Refer to Oracle Database VLDB and Partitioning Guide for more information on referencing an interval-partitioned table.
The partitioning referential constraint must meet the following conditions:
You must specify a referential integrity constraint defined on the table being created, which must refer to a primary key or unique constraint on the parent table. The constraint must be in ENABLE
VALIDATE
NOT
DEFERRABLE
state, which is the default when you specify a referential integrity constraint during table creation.
All foreign key columns referenced in the constraint must be NOT
NULL
.
When you specify the constraint, you cannot specify the ON
DELETE
SET
NULL
clause of the references_clause
.
The parent table referenced in the constraint must be an existing partitioned table. It can be partitioned by any method.
The foreign and parent keys cannot contain any virtual columns that reference PL/SQL functions or LOB columns.
reference_partition_desc
Use this optional clause to specify partition names and to define the physical and storage characteristics of the partition. The subclauses of the table_partition_description
have the same behavior as described for range partitions in table_partition_description.
If you specify this clause when creating a reference-partitioned child table whose parent is an interval-partitioned table, then the partition descriptors are used for the child table's non-interval partitions. Partition descriptors cannot be specified for interval partitions.
Restrictions on Reference Partitioning
Reference partitioning is subject to the restrictions listed in Restrictions on Partitioning in General. The following additional restrictions apply:
Restrictions for reference partitioning are derived from the partitioning strategy of the parent table.
Neither the parent table nor the child table can be an automatic list-partitioned table.
You cannot specify this clause for an index-organized table, an external table, or a domain index storage table.
The parent table can be partitioned by reference, but constraint
cannot be self-referential. The table being created cannot be partitioned based on a reference to itself.
If ROW
MOVEMENT
is enabled for the parent table, it must also be enabled for the child table.
In both the child table and parent table, the character columns involved in the referential integrity constraint must each have one of the following declared collations: BINARY
, USING_NLS_COMP
, USING_NLS_SORT
, or USING_NLS_SORT_CS
.
See Also:
Oracle Database VLDB and Partitioning Guide for more information on partitioning by reference and "Reference Partitioning Example"
system_partitioning
Use this clause to create system partitions. System partitioning does not entail any partitioning key columns, nor do system partitions have any range or list bounds or hash algorithms. Rather, they provide a way to equipartition dependent tables such as nested table or domain index storage tables with partitioned base tables.
If you specify only PARTITION
BY
SYSTEM
, then the database creates one partition with a system-generated name of the form SYS_P
n
.
If you specify PARTITION
BY
SYSTEM
PARTITIONS
integer
, then the database creates as many partitions as you specify in integer
, which can range from 1 to 1024K-1.
The description of the partition takes the same syntax as reference partitions, so they share the reference_partition_desc
. You can specify additional partition attributes with the reference_partition_desc
syntax. However, within the table_partition_description
, you cannot specify the OVERFLOW
clause.
Restrictions on System Partitioning
System partitioning is subject to the following restrictions:
You cannot system partition an index-organized table or a table that is part of a cluster.
Composite partitioning is not supported with system partitioning.
You cannot split a system partition.
You cannot specify system partitioning in a CREATE
TABLE
... AS
SELECT
statement.
To insert data into a system-partitioned table using an INSERT
INTO
... AS
subquery
statement, you must use partition-extended syntax to specify the partition into which the values returned by the subquery will be inserted.
See Also:
Refer to Oracle Database Data Cartridge Developer's Guide for information on the uses for system partitioning and "References to Partitioned Tables and Indexes"
consistent_hash_partitions
This clause is valid only for sharded tables. Use this clause to create consistent hash partitions.
consistent_hash_with_subpartitions
This clause is valid only for sharded tables. Use this clause to create consistent hash with subpartitions.
range_partitionset_clause
Use this clause to create a range partition set.
In the SUBPARTITION
BY
clause, within the subpartition_template
clause, you cannot specify a tablespace for a subpartition. That is, for range, list, and individual hash subpartitions, you cannot specify the TABLESPACE
clause of the partitioning_storage_clause
, and in the hash_subpartitions_by_quantity
clause, you cannot specify the STORE
IN
(
tablespace
)
clause.
In the PARTITIONS
AUTO
clause, within the subpartition_template
clause of the range_partitionset_desc
clause, you can specify a tablespace for a subpartition.
list_partitionset_clause
Use this clause to create a list partition set.
In the SUBPARTITION
BY
clause, within the subpartition_template
clause, you cannot specify a tablespace for a subpartition. That is, for range, list, and individual hash subpartitions, you cannot specify the TABLESPACE
clause of the partitioning_storage_clause
, and in the hash_subpartitions_by_quantity
clause, you cannot specify the STORE
IN
(
tablespace
)
clause.
In the PARTITIONS
AUTO
clause, within the subpartition_template
clause of the list_partitionset_desc
clause, you can specify a tablespace for a subpartition.
attribute_clustering_clause
Use this clause to enable the table for attribute clustering. Attribute clustering lets you cluster data in close physical proximity based on the content of specified columns.
Attribute clustering can be based only on columns in table
or on joined values from other tables. The latter is called join attribute clustering.
See Also:
Oracle Database Data Warehousing Guide for more information on attribute clustering
clustering_join
Use this clause to specify join attribute clustering. Use the JOIN
clause to specify the joined values from other tables on which to base the attribute clustering. You can specify a maximum of four JOIN
clauses.
cluster_clause
Use this clause to specify the type of ordering to use for the table: linear ordering or interleaved ordering. If you do not specify the LINEAR
or INTERLEAVED
keyword, then the default is LINEAR
.
BY LINEAR ORDER
Use this clause to specify linear ordering. This type of ordering stores data according to the order of the specified columns. If you specify this clause, then you can specify only one clustering column group, which can contain at most 10 columns.
BY INTERLEAVED ORDER
Use this clause to specify interleaved ordering. This type of ordering uses a special multidimensional clustering technique, similar to z-ordering, that permits multicolumn clustering. If you specify this clause, then you can specify at most four clustering column groups, with a maximum of 40 columns across all groups.
clustering_columns
Use this clause to specify one or more clustering column groups.
clustering_column_group
Use this clause to specify one or more columns to be included in the clustering column group.
Restriction on Attribute Clustering Columns
Each character column in the clustering column group must have one of the following declared collations: BINARY
or USING_NLS_COMP
.
clustering_when
Use these clauses to allow or disallow attribute clustering during direct-path insert operations and data movement operations.
ON LOAD
Specify YES
ON
LOAD
to allow, or NO
ON
LOAD
to disallow, attribute clustering during direct-path inserts (serial or parallel) resulting either from an INSERT
or a MERGE
operation. The default is NO
ON
LOAD
.
ON DATA MOVEMENT
Specify YES
ON
DATA
MOVEMENT
to allow, or NO
ON
DATA
MOVEMENT
to disallow, attribute clustering for data movement that occurs during the following operations:
Data redefinition using the DBMS_REDEFINITION
package
Table partition maintenance operations that are specified by the following clauses of ALTER
TABLE
: coalesce_table
, merge_table_partitions
, move_table_partition
, and split_table_partition
The default is NO
ON
DATA
MOVEMENT
.
zonemap_clause
Use this clause to create a zone map on the table. The zone map tracks the columns specified in the clustering_columns
clause.
Specify WITH
MATERIALIZED
ZONEMAP
to create a zone map. For zonemap_name
, specify the name of the zone map to be created. If you omit zonemap_name
, then the name of the zone map is ZMAP$_
table
.
Specify WITHOUT
MATERIALIZED
ZONEMAP
to not create a zone map. This is the default.
If you subsequently drop the table or use the ALTER
TABLE
statement to DROP
CLUSTERING
or MODIFY
CLUSTERING
... WITHOUT
MATERIALIZED
ZONEMAP
, then the zone map will be dropped.
See Also:
CREATE MATERIALIZED ZONEMAP for more information on zone maps
Restrictions on Attribute Clustering
The following restrictions apply to attribute clustering:
Attribute clustering is not supported for temporary tables or external tables.
The table being created must be a heap-organized table. However, tables specified in the clustering_join
clause can be heap-organized or index-organized tables.
Clustering columns must be of a scalar data type and cannot be encrypted.
If you specify BY
LINEAR
ORDER
, then you can specify only one clustering column group, which can contain at most 10 columns.
If you specify BY
INTERLEAVED
ORDER
, then you can specify at most four clustering column groups, with a maximum of 40 columns across all groups.
For join attribute clustering:
The number of dimension tables cannot exceed four.
The join to the table or tables providing the attribute clustering columns must be on a unique key or primary key column to avoid row duplication.
Attribute clustering will not order rows that are inserted using MERGE
statements or multitable insert operations.
CACHE | NOCACHE | CACHE READS
Use these clauses to indicate how Oracle Database should store blocks in the buffer cache. For LOB storage, you can specify CACHE
, NOCACHE
, or CACHE
READS
. For other types of storage, you can specify only CACHE
or NOCACHE
.
If you omit these clauses, then:
In a CREATE
TABLE
statement, NOCACHE
is the default.
In an ALTER
TABLE
statement, the existing value is not changed.
The behavior of CACHE
and NOCACHE
described in this section does not apply when Oracle Database chooses to use direct reads or to perform table scans using parallel query.
For data that is accessed frequently, this clause indicates that the blocks retrieved for this table are placed at the most recently used end of the least recently used (LRU) list in the buffer cache when a full table scan is performed. This attribute is useful for small lookup tables.
See Also:
Oracle Database Concepts for more information on how the database maintains the least recently used (LRU) list
As a parameter in the LOB_storage_clause
, CACHE
specifies that the database places LOB data values in the buffer cache for faster access. The database evaluates this parameter in conjunction with the logging_clause
. If you omit this clause, then the default value for both BasicFiles and SecureFiles LOBs is NOCACHE
LOGGING
.
Restriction on CACHE
You cannot specify CACHE
for an index-organized table. However, index-organized tables implicitly provide CACHE
behavior.
For data that is not accessed frequently, this clause indicates that the blocks retrieved for this table are placed at the least recently used end of the LRU list in the buffer cache when a full table scan is performed. NOCACHE
is the default for LOB storage.
As a parameter in the LOB_storage_clause
, NOCACHE
specifies that the LOB values are not brought into the buffer cache. NOCACHE
is the default for LOB storage.
Restriction on NOCACHE
You cannot specify NOCACHE
for an index-organized table.
CACHE
READS
applies only to LOB storage. It specifies that LOB values are brought into the buffer cache only during read operations but not during write operations.
logging_clause
Use this clause to indicate whether the storage of data blocks should be logged or not.
See Also:
logging_clause for a description of the logging_clause
when specified as part of LOB_parameters
RESULT_CACHE Clause
Use this clause to determine whether the results of statements or query blocks that name this table are considered for storage in the result cache. Two modes of result caching are available:
DEFAULT
: Result caching is not determined at the table level. The query is considered for result caching if the RESULT_CACHE_MODE
initialization parameter is set to FORCE
, or if that parameter is set to MANUAL
and the RESULT_CACHE
hint is specified in the query. This is the default if you omit this clause.
FORCE
: If all tables names in the query have this setting, then the query is always considered for caching unless the NO_RESULT_CACHE
hint is specified for the query. If one or more tables named in the query are set to DEFAULT
, then the effective table annotation for that query is considered to be DEFAULT
, with the semantics described above.
You can query the RESULT_CACHE
column of the DBA_
, ALL_
, and USER_TABLES
data dictionary views to learn the result cache mode of the table.
The RESULT_CACHE
and NO_RESULT_CACHE
SQL hints take precedence over these result cache table annotations and the RESULT_CACHE_MODE
initialization parameter. The RESULT_CACHE_MODE
setting of FORCE
in turn takes precedence over this table annotation clause.
Note:
The RESULT_CACHE_MODE
setting of FORCE
is not recommended, as it can cause significant performance and latching overhead, as database and clients will try to cache all queries.
See Also:
Oracle Call Interface Programmer's Guide and Oracle Database Concepts for general information about result caching
Oracle Database Performance Tuning Guide for information about using this clause
Oracle Database Reference for information about the RESULT_CACHE_MODE
initialization parameter and the *_TABLES
data dictionary views
"RESULT_CACHE Hint" and "NO_RESULT_CACHE Hint" for information about the hints
parallel_clause
The parallel_clause
lets you parallelize creation of the table and set the default degree of parallelism for queries and the DML INSERT
, UPDATE
, DELETE
, and MERGE
after table creation.
Note:
The syntax of the parallel_clause
supersedes syntax appearing in earlier releases of Oracle. The superseded syntax is still supported for backward compatibility, but may result in slightly different behavior from that documented.
Specify NOPARALLEL
for serial execution. This is the default.
PARALLEL
Specify PARALLEL
if you want Oracle to select a degree of parallelism equal to the number of CPUs available on all participating instances times the value of the PARALLEL_THREADS_PER_CPU
initialization parameter.
PARALLEL integer
Specification of integer
indicates the degree of parallelism, which is the number of parallel threads used in the parallel operation. Each parallel thread may use one or two parallel execution servers. Normally Oracle calculates the optimum degree of parallelism, so it is not necessary for you to specify integer
.
See Also:
parallel_clause for more information on this clause
NOROWDEPENDENCIES | ROWDEPENDENCIES
This clause lets you specify whether table
will use row-level dependency tracking. With this feature, each row in the table has a system change number (SCN) that represents a time greater than or equal to the commit time of the last transaction that modified the row. You cannot change this setting after table
is created.
ROWDEPENDENCIES
Specify ROWDEPENDENCIES
if you want to enable row-level dependency tracking. This setting is useful primarily to allow for parallel propagation in replication environments. It increases the size of each row by 6 bytes.
Restriction on the ROWDEPENDENCIES Clause
Oracle does not support table compression for tables that use row-level dependency tracking. If you specify both the ROWDEPENDENCIES
clause and the table_compression
clause, then the table_compression
clause is ignored. To remove the ROWDEPENDENCIES
attribute, you must redefine the table using the DBMS_REDEFINITION
package or recreate the table.
NOROWDEPENDENCIES
Specify NOROWDEPENDENCIES
if you do not want table
to use the row-level dependency tracking feature. This is the default.
enable_disable_clause
The enable_disable_clause
lets you specify whether Oracle Database should apply a constraint. By default, constraints are created in ENABLE
VALIDATE
state.
Restrictions on Enabling and Disabling Constraints
Enabling and disabling constraints are subject to the following restrictions:
To enable or disable any integrity constraint, you must have defined the constraint in this or a previous statement.
You cannot enable a foreign key constraint unless the referenced unique or primary key constraint is already enabled.
In the index_properties
clause of the using_index_clause
, the INDEXTYPE
IS
... clause is not valid in the definition of a constraint.
See Also:
constraint for more information on constraints and "Creating a Table: ENABLE/DISABLE Examples"
ENABLE Clause
Use this clause if you want the constraint to be applied to the data in the table. This clause is described fully in "ENABLE Clause" in the documentation on constraints.
DISABLE Clause
Use this clause if you want to disable the integrity constraint. This clause is described fully in "DISABLE Clause" in the documentation on constraints.
The UNIQUE
clause lets you enable or disable the unique constraint defined on the specified column or combination of columns.
The PRIMARY
KEY
clause lets you enable or disable the primary key constraint defined on the table.
The CONSTRAINT
clause lets you enable or disable the integrity constraint named constraint_name
.
KEEP | DROP INDEX
This clause lets you either preserve or drop the index Oracle Database has been using to enforce a unique or primary key constraint.
Restriction on Preserving and Dropping Indexes
You can specify this clause only when disabling a unique or primary key constraint.
using_index_clause
The using_index_clause
lets you specify an index for Oracle Database to use to enforce a unique or primary key constraint, or lets you instruct the database to create the index used to enforce the constraint. This clause is discussed fully in using_index_clause in the documentation on constraints.
See Also:
CREATE INDEX for a description of index_attributes, the global_partitioned_index and local_partitioned_index clauses, NOSORT
, and the logging_clause
in relation to indexes
constraint for information on the using_index_clause
and on PRIMARY
KEY
and UNIQUE
constraints
"Explicit Index Control Example" for an example of using an index to enforce a constraint
CASCADE
Specify CASCADE
to disable any integrity constraints that depend on the specified integrity constraint. To disable a primary or unique key that is part of a referential integrity constraint, you must specify this clause.
Restriction on CASCADE
You can specify CASCADE
only if you have specified DISABLE
.
row_movement_clause
The row_movement_clause
lets you specify whether the database can move a table row. It is possible for a row to move, for example, during table compression or an update operation on partitioned data.
Note:
If you need static rowids for data access, then do not enable row movement. For a normal (heap-organized) table, moving a row changes the rowid of the row. For a moved row in an index-organized table, the logical rowid remains valid, although the physical guess component of the logical rowid becomes inaccurate.
Specify ENABLE
to allow the database to move a row, thus changing the rowid.
Specify DISABLE
if you want to prevent the database from moving a row, thus preventing a change of rowid.
If you omit this clause, then the database disables row movement.
Restriction on Row Movement
You cannot specify this clause for a nonpartitioned index-organized table.
flashback_archive_clause
You must have the FLASHBACK
ARCHIVE
object privilege on the specified flashback data archive to specify this clause. Use this clause to enable or disable historical tracking for the table.
Specify FLASHBACK
ARCHIVE
to enable tracking for the table. You can specify flashback_archive
to designate a particular flashback data archive for this table. The flashback data archive you specify much already exist.
If you omit flashback_archive
, then the database uses the default flashback data archive designated for the system. If no default flashback data archive has been designated for the system, then you must specify flashback_archive
.
Specify NO
FLASHBACK
ARCHIVE
to disable tracking for the table. This is the default.
Restrictions on flashback_archive_clause
Flashback data archives are subject to the following restrictions:
You cannot specify this clause for a nested table, clustered table, temporary table, remote table, or external table.
You cannot specify this clause for a table compressed with Hybrid Columnar Compression.
The table for which you are specifying this clause cannot contain any LONG
or nested table columns.
If you specify this clause and subsequently copy the table to a different database—using the export and import utilities or the transportable tablespace feature—then the copied table will not be enabled for tracking and the archived data for the original table will not be available for the copied table.
See Also:
Oracle Database Development Guide for general information on using flashback data archives
ALTER FLASHBACK ARCHIVE for information on changing the quota and retention attributes of the flashback data archive, as well as adding or changing tablespace storage for the flashback data archive
ROW ARCHIVAL
Specify this clause to enable table
for row archival. This clause lets you implement In-Database Archiving, which allows you to designate table rows as active or archived. You can then perform queries on only the active rows within the table.
When you specify this clause, a hidden column ORA_ARCHIVE_STATE
is created in the table. The column is of data type VARCHAR2
. You can specify a value of 0
or 1
for this column to indicate whether a row is active (0
) or archived (1
). If you do not specify a value for ORA_ARCHIVE_STATE
when inserting data into the table, then the value is set to 0
.
If ROW
ARCHIVE
VISIBILITY
=
ACTIVE
for the session, then the database will consider only active rows when performing queries on the table.
If ROW
ARCHIVE
VISIBILITY
=
ALL
for the session, then the database will consider all rows when performing queries on the table.
See Also:
The ALTER
SESSION
Semantics clause to learn how to configure row archival visibility for a session
The ALTER
TABLE
[NO] ROW ARCHIVAL clause to learn how to enable or disable an existing table for row archival
Oracle Database VLDB and Partitioning Guide for more information on In-Database Archiving
FOR EXCHANGE WITH TABLE
This clause lets you create a table that matches the structure of an existing partitioned table. The two tables are then eligible for exchanging partitions and subpartitions. For table
, specify an existing partitioned table. For schema
, specify the schema that contains the existing partitioned table. If you omit schema
, then the database assumes the table is in your own schema.
This operation creates a metadata clone, without data, of the partitioned table. The clone has the same column ordering and column properties of the original table. Column properties copied to the clone during this operation include unusable columns, invisible columns, virtual expression columns, functional index expression columns, and other internal settings and attributes. Indexes on the existing partitioned table are not created on the clone table.
You can subsequently use the exchange_partition_subpart
clause of ALTER
TABLE
to exchange partitions or subpartitions between the two tables. Refer to exchange_partition_subpart in the documentation on ALTER
TABLE
for more information.
Restrictions on FOR EXCHANGE WITH TABLE
The following restrictions apply to the FOR
EXCHANGE
WITH
TABLE
clause:
If you specify this clause, then you cannot specify the relational_properties
clause.
If you specify this clause, then within the table_properties
clause, you can specify only the table_partitioning_clause
.
When you create a clone for a partition of a composite-partitioned table, you must explicitly specifying the appropriate table_partitioning_clause
that matches exactly the subpartitioning of the partition you want to exchange.
You cannot create a clone of a partitioned index-organized table.
Oracle does not clone the statistics setup of the partitioned table. For example, if you plan to perform an exchange with a partitioned table for which incremental statistics are enabled, you must manually enable the creation of a table synopsis on the clone table. See Oracle Database SQL Tuning Guide for more information on maintaining incremental statistics on partitioned tables.
AS subquery
Specify a subquery to determine the contents of the table. The rows returned by the subquery are inserted into the table upon its creation.
For object tables, subquery
can contain either one expression corresponding to the table type, or the number of top-level attributes of the table type. Refer to SELECT for more information.
If subquery
returns the equivalent of part or all of an existing materialized view, then the database may rewrite the query to use the materialized view in place of one or more tables specified in subquery
.
See Also:
Oracle Database Data Warehousing Guide for more information on materialized views and query rewrite
Oracle Database derives data types and lengths from the subquery. Oracle Database follows the following rules for integrity constraints and other column and table attributes:
Oracle Database automatically defines on columns in the new table any NOT
NULL
constraints that have a state of NOT
DEFERRABLE
and VALIDATE
, and were explicitly created on the corresponding columns of the selected table if the subquery selects the column rather than an expression containing the column. If any rows violate the constraint, then the database does not create the table and returns an error.
NOT
NULL
constraints that were implicitly created by Oracle Database on columns of the selected table (for example, for primary keys) are not carried over to the new table.
In addition, primary keys, unique keys, foreign keys, check constraints, partitioning criteria, indexes, and column default values are not carried over to the new table.
If the selected table is partitioned, then you can choose whether the new table will be partitioned the same way, partitioned differently, or not partitioned. Partitioning is not carried over to the new table. Specify any desired partitioning as part of the CREATE
TABLE
statement before the AS
subquery
clause.
A column that is encrypted using Transparent Data Encryption in the selected table will not be encrypted in the new table unless you define the column in the new table as encrypted at create time.
Note:
Oracle recommends that you encrypt sensitive columns before populating them with data. This will avoid creating clear text copies of sensitive data.
If each column returned by subquery
has a column name or is an expression with a specified column alias, then you can omit the columns from the table definition entirely. In this case, the names of the columns of table
are the same as the columns in subquery
. The exception is creating an index-organized table, for which you must specify the columns in the table definition because you must specify a primary key column.
You can use subquery
in combination with the TO_LOB
function to convert the values in a LONG
column in another table to LOB values in a column of the table you are creating.
See Also:
Oracle Database SecureFiles and Large Objects Developer's Guide for a discussion of why and when to copy LONG
data to a LOB
"Conversion Functions" for a description of how to use the TO_LOB
function
SELECT for more information on the order_by_clause
Oracle Database SQL Tuning Guide for information on statistics gathering when using the AS
subquery
clause
parallel_clause
If you specify the parallel_clause
in this statement, then the database will ignore any value you specify for the INITIAL
storage parameter and will instead use the value of the NEXT
parameter.
See Also:
storage_clause for information on these parameters
ORDER BY
The ORDER
BY
clause lets you order rows returned by the subquery.
When specified with CREATE
TABLE
, this clause does not necessarily order data across the entire table. For example, it does not order across partitions. Specify this clause if you intend to create an index on the same key as the ORDER
BY
key column. Oracle Database will cluster data on the ORDER
BY
key so that it corresponds to the index key.
Restrictions on the Defining Query of a Table
The table query is subject to the following restrictions:
The number of columns in the table must equal the number of expressions in the subquery.
The column definitions can specify only column names, default values, and integrity constraints, not data types.
You cannot define a foreign key constraint in a CREATE
TABLE
statement that contains AS
subquery
unless the table is reference partitioned and the constraint is the table's partitioning referential constraint. In all other cases, you must create the table without the constraint and then add it later with an ALTER
TABLE
statement.
object_table
The OF
clause lets you explicitly create an object table of type object_type
. The columns of an object table correspond to the top-level attributes of type object_type
. Each row will contain an object instance, and each instance will be assigned a unique, system-generated object identifier when a row is inserted. If you omit schema
, then the database creates the object table in your own schema.
Object tables, as well as XMLType
tables, object views, and XMLType
views, do not have any column names specified for them. Therefore, Oracle defines a system-generated pseudocolumn OBJECT_ID
. You can use this column name in queries and to create object views with the WITH
OBJECT
IDENTIFIER
clause.
See Also:
object_table_substitution
Use the object_table_substitution
clause to specify whether row objects corresponding to subtypes can be inserted into this object table.
NOT SUBSTITUTABLE AT ALL LEVELS
NOT
SUBSTITUTABLE
AT
ALL
LEVELS
indicates that the object table being created is not substitutable. In addition, substitution is disabled for all embedded object attributes and elements of embedded nested tables and arrays. The default is SUBSTITUTABLE
AT
ALL
LEVELS
.
See Also:
CREATE TYPE for more information about creating object types
"User-Defined Types", "About User-Defined Functions", "About SQL Expressions", CREATE TYPE, and Oracle Database Object-Relational Developer's Guide for more information about using REF
types
object_properties
The properties of object tables are essentially the same as those of relational tables. However, instead of specifying columns, you specify attributes of the object.
For attribute
, specify the qualified column name of an item in an object.
oid_clause
The oid_clause
lets you specify whether the object identifier of the object table should be system generated or should be based on the primary key of the table. The default is SYSTEM
GENERATED
.
Restrictions on the oid_clause
This clause is subject to the following restrictions:
You cannot specify OBJECT
IDENTIFIER
IS
PRIMARY
KEY
unless you have already specified a PRIMARY
KEY
constraint for the table.
You cannot specify this clause for a nested table.
Note:
A primary key object identifier is locally unique but not necessarily globally unique. If you require a globally unique identifier, then you must ensure that the primary key is globally unique.
oid_index_clause
This clause is relevant only if you have specified the oid_clause
as SYSTEM
GENERATED
. It specifies an index, and optionally its storage characteristics, on the hidden object identifier column.
For index
, specify the name of the index on the hidden system-generated object identifier column. If you omit index
, then the database generates a name.
physical_properties and table_properties
The semantics of these clauses are documented in the corresponding sections under relational tables. See physical_properties and table_properties.
XMLType_table
Use the XMLType_table
syntax to create a table of data type XMLType
. Most of the clauses used to create an XMLType
table have the same semantics that exist for object tables. The clauses specific to XMLType
tables are described in this section.
Object tables, as well as XMLType
tables, object views, and XMLType
views, do not have any column names specified for them. Therefore, Oracle defines a system-generated pseudocolumn OBJECT_ID
. You can use this column name in queries and to create object views with the WITH
OBJECT
IDENTIFIER
clause.
XMLSchema_spec
This clause lets you specify the URL of a registered XMLSchema, either in the XMLSCHEMA
clause or as part of the ELEMENT
clause, and an XML element name.
You must specify an element, although the XMLSchema URL is optional. If you do specify an XMLSchema URL, then you must already have registered the XMLSchema using the DBMS_XMLSCHEMA
package.
The optional STORE
ALL
VARRAYS
AS
clause lets you specify how all varrays in the XMLType
table or column are to be stored.
STORE
ALL
VARRAYS
AS
LOBS
indicates that all varrays are to be stored as LOBs.
STORE
ALL
VARRAYS
AS
TABLES
indicates that all varrays are to be stored as tables.
The optional ALLOW
| DISALLOW
clauses are valid only if you have specified BINARY
XML
storage.
ALLOW
NONSCHEMA
indicates that non-schema-based documents can be stored in the XMLType
column.
DISALLOW
NONSCHEMA
indicates that non-schema-based documents cannot be stored in the XMLType
column. This is the default.
ALLOW
ANYSCHEMA
indicates that any schema-based document can be stored in the XMLType
column.
DISALLOW
ANYSCHEMA
indicates that any schema-based document cannot be stored in the XMLType
column. This is the default.
See Also:
Oracle Database PL/SQL Packages and Types Reference for information on the DBMS_XMLSCHEMA
package
Oracle XML DB Developer's Guide for information on creating and working with XML data
PARENT
You can use this clause to create a child table in a sharded table family.
A sharded table family is a set of tables that are sharded in the same way. Corresponding partitions of all tables in a table family are stored in the same shard. This enables you to minimize the number of multishard joins when querying data in the table family.
There are two methods for creating a sharded table family. The recommended method involves using reference partitioning. However, if it is impossible or undesirable to create the primary and foreign key constraints that are required for reference partitioning, then you can use the PARENT
clause to create a sharded table family.
The rules for creating a sharded table family differ depending on which method you use. When you create a sharded table family by using the PARENT
clause, the following rules apply:
The sharded table family can contain only two levels of tables: a parent table, and one or more child tables.
All tables in the family must be explicitly partitioned using the same partitioning scheme. Each table can use a different subpartitioning scheme, or none at all.
You must first create the parent table, and it must be a sharded table.
You can then use the CREATE
SHARDED
TABLE
... PARENT
... statement to create each child table. For table
, specify the name of the parent table. For schema
, specify the schema that contains the parent table. If you omit schema
, then the database assumes the parent table is in your own schema.
Regardless of which method you use, you can create at most one sharded table family in a sharded database (SDB).
See Also:
Oracle Database Administrator's Guide for more information on creating sharded table families using reference partitioning or the PARENT
clause
Examples
Creating Tables: General Examples
This statement shows how the employees
table owned by the sample human resources (hr
) schema was created. A hypothetical name is given to the table and constraints so that you can duplicate this example in your test database:
CREATE TABLE employees_demo ( employee_id NUMBER(6) , first_name VARCHAR2(20) , last_name VARCHAR2(25) CONSTRAINT emp_last_name_nn_demo NOT NULL , email VARCHAR2(25) CONSTRAINT emp_email_nn_demo NOT NULL , phone_number VARCHAR2(20) , hire_date DATE DEFAULT SYSDATE CONSTRAINT emp_hire_date_nn_demo NOT NULL , job_id VARCHAR2(10) CONSTRAINT emp_job_nn_demo NOT NULL , salary NUMBER(8,2) CONSTRAINT emp_salary_nn_demo NOT NULL , commission_pct NUMBER(2,2) , manager_id NUMBER(6) , department_id NUMBER(4) , dn VARCHAR2(300) , CONSTRAINT emp_salary_min_demo CHECK (salary > 0) , CONSTRAINT emp_email_uk_demo UNIQUE (email) ) ;
This table contains twelve columns. The employee_id
column is of data type NUMBER
. The hire_date
column is of data type DATE
and has a default value of SYSDATE
. The last_name
column is of type VARCHAR2
and has a NOT
NULL
constraint, and so on.
Creating a Table: Storage Example
To define the same employees_demo
table in the example
tablespace with a small storage capacity, issue the following statement:
CREATE TABLE employees_demo ( employee_id NUMBER(6) , first_name VARCHAR2(20) , last_name VARCHAR2(25) CONSTRAINT emp_last_name_nn_demo NOT NULL , email VARCHAR2(25) CONSTRAINT emp_email_nn_demo NOT NULL , phone_number VARCHAR2(20) , hire_date DATE DEFAULT SYSDATE CONSTRAINT emp_hire_date_nn_demo NOT NULL , job_id VARCHAR2(10) CONSTRAINT emp_job_nn_demo NOT NULL , salary NUMBER(8,2) CONSTRAINT emp_salary_nn_demo NOT NULL , commission_pct NUMBER(2,2) , manager_id NUMBER(6) , department_id NUMBER(4) , dn VARCHAR2(300) , CONSTRAINT emp_salary_min_demo CHECK (salary > 0) , CONSTRAINT emp_email_uk_demo UNIQUE (email) ) TABLESPACE example STORAGE (INITIAL 8M);
Creating a Table with a DEFAULT ON NULL Column Value: Example
The following statement creates a table myemp
, which can be used to store employee data. The department_id
column is defined with a DEFAULT
ON
NULL
column value of 50. Therefore, if a subsequent INSERT
statement attempts to assign a NULL value to department_id
, then the value of 50 will be assigned instead.
CREATE TABLE myemp (employee_id number, last_name varchar2(25), department_id NUMBER DEFAULT ON NULL 50 NOT NULL);
In the employees
table, employee_id
178 has a NULL value for department_id
:
SELECT employee_id, last_name, department_id FROM employees WHERE department_id IS NULL; EMPLOYEE_ID LAST_NAME DEPARTMENT_ID ----------- ------------------------- ------------- 178 Grant
Populate the myemp
table with the employee_id
, last_name
, and department_id
column data from the employees
table:
INSERT INTO myemp (employee_id, last_name, department_id) (SELECT employee_id, last_name, department_id from employees);
In the myemp
table, employee_id
178 has a value of 50 for department_id
:
SELECT employee_id, last_name, department_id FROM myemp WHERE employee_id = 178; EMPLOYEE_ID LAST_NAME DEPARTMENT_ID ----------- ------------------------- ------------- 178 Grant 50
Creating a Table with an Identity Column: Examples
The following statement creates a table t1
with an identity column id
. The sequence generator will always assign increasing integer values to id
, starting with 1
.
CREATE TABLE t1 (id NUMBER GENERATED AS IDENTITY);
The following statement creates a table t2
with an identity column id
. The sequence generator will, by default, assign increasing integer values to id
in increments of 10 starting with 100.
CREATE TABLE t2 (id NUMBER GENERATED BY DEFAULT AS IDENTITY (START WITH 100 INCREMENT BY 10));
Creating a Table: Temporary Table Example
The following statement creates a temporary table today_sales
for use by sales representatives in the sample database. Each sales representative session can store its own sales data for the day in the table. The temporary data is deleted at the end of the session.
CREATE GLOBAL TEMPORARY TABLE today_sales ON COMMIT PRESERVE ROWS AS SELECT * FROM orders WHERE order_date = SYSDATE;
Creating a Table with Deferred Segment Creation: Example
The following statement creates a table with deferred segment creation. Oracle Database will not create a segment for the data of this table until data is inserted into the table:
CREATE TABLE later (col1 NUMBER, col2 VARCHAR2(20)) SEGMENT CREATION DEFERRED;
Substitutable Table and Column Examples
The following statements create a type hierarchy, which can be used to create a substitutable table. Type employee_t
inherits the name
and ssn
attributes from type person_t
and in addition has department_id
and salary
attributes. Type part_time_emp_t
inherits all of the attributes from employee_t
and, through employee_t
, those of person_t
and in addition has a num_hrs
attribute. Type part_time_emp_t
is final by default, so no further subtypes can be created under it.
CREATE TYPE person_t AS OBJECT (name VARCHAR2(100), ssn NUMBER) NOT FINAL; / CREATE TYPE employee_t UNDER person_t (department_id NUMBER, salary NUMBER) NOT FINAL; / CREATE TYPE part_time_emp_t UNDER employee_t (num_hrs NUMBER); /
The following statement creates a substitutable table from the person_t
type:
CREATE TABLE persons OF person_t;
The following statement creates a table with a substitutable column of type person_t
:
CREATE TABLE books (title VARCHAR2(100), author person_t);
When you insert into persons
or books
, you can specify values for the attributes of person_t
or any of its subtypes. Examples of insert statements appear in "Inserting into a Substitutable Tables and Columns: Examples".
You can extract data from such tables using built-in functions and conditions. For examples, see the functions TREAT and SYS_TYPEID, and the "IS OF type Condition" condition.
Creating a Table: Parallelism Examples
The following statement creates a table using an optimum number of parallel execution servers to scan employees
and to populate dept_80
:
CREATE TABLE dept_80 PARALLEL AS SELECT * FROM employees WHERE department_id = 80;
Using parallelism speeds up the creation of the table, because the database uses parallel execution servers to create the table. After the table is created, querying the table is also faster, because the same degree of parallelism is used to access the table.
The following statement creates the same table serially. Subsequent DML and queries on the table will also be serially executed.
CREATE TABLE dept_80 AS SELECT * FROM employees WHERE department_id = 80;
Creating a Table: ENABLE/DISABLE Examples
The following statement shows how the sample table departments
was created. The example defines a NOT
NULL
constraint, and places it in ENABLE
VALIDATE
state. A hypothetical name is given to the table so that you can duplicate this example in your test database:
CREATE TABLE departments_demo ( department_id NUMBER(4) , department_name VARCHAR2(30) CONSTRAINT dept_name_nn NOT NULL , manager_id NUMBER(6) , location_id NUMBER(4) , dn VARCHAR2(300) ) ;
The following statement creates the same departments_demo
table but also defines a disabled primary key constraint:
CREATE TABLE departments_demo ( department_id NUMBER(4) PRIMARY KEY DISABLE , department_name VARCHAR2(30) CONSTRAINT dept_name_nn NOT NULL , manager_id NUMBER(6) , location_id NUMBER(4) , dn VARCHAR2(300) ) ;
Nested Table Example
The following statement shows how the sample table pm.print_media
was created with a nested table column ad_textdocs_ntab
:
CREATE TABLE print_media ( product_id NUMBER(6) , ad_id NUMBER(6) , ad_composite BLOB , ad_sourcetext CLOB , ad_finaltext CLOB , ad_fltextn NCLOB , ad_textdocs_ntab textdoc_tab , ad_photo BLOB , ad_graphic BFILE , ad_header adheader_typ ) NESTED TABLE ad_textdocs_ntab STORE AS textdocs_nestedtab;
Creating a Table: Multilevel Collection Example
The following example shows how an account manager might create a table of customers using two levels of nested tables:
CREATE TYPE phone AS OBJECT (telephone NUMBER); / CREATE TYPE phone_list AS TABLE OF phone; / CREATE TYPE my_customers AS OBJECT ( cust_name VARCHAR2(25), phones phone_list); / CREATE TYPE customer_list AS TABLE OF my_customers; / CREATE TABLE business_contacts ( company_name VARCHAR2(25), company_reps customer_list) NESTED TABLE company_reps STORE AS outer_ntab (NESTED TABLE phones STORE AS inner_ntab);
The following variation of this example shows how to use the COLUMN_VALUE
keyword if the inner nested table has no column or attribute name:
CREATE TYPE phone AS TABLE OF NUMBER; / CREATE TYPE phone_list AS TABLE OF phone; / CREATE TABLE my_customers ( name VARCHAR2(25), phone_numbers phone_list) NESTED TABLE phone_numbers STORE AS outer_ntab (NESTED TABLE COLUMN_VALUE STORE AS inner_ntab);
Creating a Table: LOB Column Example
The following statement is a variation of the statement that created the pm.print_media
table with some added LOB storage characteristics:
CREATE TABLE print_media_new ( product_id NUMBER(6) , ad_id NUMBER(6) , ad_composite BLOB , ad_sourcetext CLOB , ad_finaltext CLOB , ad_fltextn NCLOB , ad_textdocs_ntab textdoc_tab , ad_photo BLOB , ad_graphic BFILE , ad_header adheader_typ ) NESTED TABLE ad_textdocs_ntab STORE AS textdocs_nestedtab_new LOB (ad_sourcetext, ad_finaltext) STORE AS (TABLESPACE example STORAGE (INITIAL 6144) CHUNK 4000 NOCACHE LOGGING);
In the example, the database rounds the value of CHUNK
up to 4096 (the nearest multiple of the block size of 2048).
Index-Organized Table Example
The following statement is a variation of the sample table hr.countries
, which is index organized:
CREATE TABLE countries_demo ( country_id CHAR(2) CONSTRAINT country_id_nn_demo NOT NULL , country_name VARCHAR2(40) , currency_name VARCHAR2(25) , currency_symbol VARCHAR2(3) , region VARCHAR2(15) , CONSTRAINT country_c_id_pk_demo PRIMARY KEY (country_id ) ) ORGANIZATION INDEX INCLUDING country_name PCTTHRESHOLD 2 STORAGE ( INITIAL 4K ) OVERFLOW STORAGE ( INITIAL 4K );
External Table Example
The following statement creates an external table that represents a subset of the sample table hr
.departments
. The TYPE
clause specifies that the access driver type for the table is ORACLE_LOADER
. The ACCESS
PARAMETERS()
clause specifies parameter values for the ORACLE_LOADER
access driver. These parameters are shown in italics and form the opaque_format_spec
. The syntax for opaque_format_spec
depends on the access driver type and is outside the scope of this document. Refer to Oracle Database Utilities for details on the ORACLE_LOADER
access driver and the opaque_format_spec
syntax.
CREATE TABLE dept_external ( deptno NUMBER(6), dname VARCHAR2(20), loc VARCHAR2(25) ) ORGANIZATION EXTERNAL (TYPE oracle_loader DEFAULT DIRECTORY admin ACCESS PARAMETERS ( RECORDS DELIMITED BY newline BADFILE 'ulcase1.bad' DISCARDFILE 'ulcase1.dis' LOGFILE 'ulcase1.log' SKIP 20 FIELDS TERMINATED BY "," OPTIONALLY ENCLOSED BY '"' ( deptno INTEGER EXTERNAL(6), dname CHAR(20), loc CHAR(25) ) ) LOCATION ('ulcase1.ctl') ) REJECT LIMIT UNLIMITED;
See Also:
"Creating a Directory: Examples" to see how the admin
directory was created
This section contains brief examples of creating an XMLType
table or XMLType
column. For a more expanded version of these examples, refer to "Using XML in SQL Statements".
XMLType Table Examples
The following example creates a very simple XMLType
table with one implicit binary XML column:
CREATE TABLE xwarehouses OF XMLTYPE;
The following example creates an XMLSchema-based table. The XMLSchema must already have been created (see "Using XML in SQL Statements" for more information):
CREATE TABLE xwarehouses OF XMLTYPE XMLSCHEMA "http://www.example.com/xwarehouses.xsd" ELEMENT "Warehouse";
You can define constraints on an XMLSchema-based table, and you can also create indexes on XMLSchema-based tables, which greatly enhance subsequent queries. You can create object-relational views on XMLType
tables, and you can create XMLType
views on object-relational tables.
See Also:
"Using XML in SQL Statements" for an example of adding a constraint
"Creating an Index on an XMLType Table: Example" for an example of creating an index
"Creating an XMLType View: Example" for an example of creating an XMLType
view
XMLType Column Examples
The following example creates a table with an XMLType
column stored as a CLOB
. This table does not require an XMLSchema, so the content structure is not predetermined:
CREATE TABLE xwarehouses ( warehouse_id NUMBER, warehouse_spec XMLTYPE) XMLTYPE warehouse_spec STORE AS CLOB (TABLESPACE example STORAGE (INITIAL 6144) CHUNK 4000 NOCACHE LOGGING);
The following example creates a similar table, but stores XMLType
data in an object relational XMLType
column whose structure is determined by the specified schema:
CREATE TABLE xwarehouses ( warehouse_id NUMBER, warehouse_spec XMLTYPE) XMLTYPE warehouse_spec STORE AS OBJECT RELATIONAL XMLSCHEMA "http://www.example.com/xwarehouses.xsd" ELEMENT "Warehouse";
The following example creates another similar table with an XMLType
column stored as a SecureFiles CLOB
. This table does not require an XMLSchema, so the content structure is not predetermined. SecureFiles LOBs require a tablespace with automatic segment-space management, so the example uses the tablespace created in "Specifying Segment Space Management for a Tablespace: Example".
CREATE TABLE xwarehouses ( warehouse_id NUMBER, warehouse_spec XMLTYPE) XMLTYPE warehouse_spec STORE AS SECUREFILE CLOB (TABLESPACE auto_seg_ts STORAGE (INITIAL 6144) CACHE);
Partitioning Examples
Range Partitioning Example
The sales
table in the sample schema sh
is partitioned by range. The following example shows an abbreviated variation of the sales
table. Constraints and storage elements have been omitted from the example.
CREATE TABLE range_sales ( prod_id NUMBER(6) , cust_id NUMBER , time_id DATE , channel_id CHAR(1) , promo_id NUMBER(6) , quantity_sold NUMBER(3) , amount_sold NUMBER(10,2) ) PARTITION BY RANGE (time_id) (PARTITION SALES_Q1_1998 VALUES LESS THAN (TO_DATE('01-APR-1998','DD-MON-YYYY')), PARTITION SALES_Q2_1998 VALUES LESS THAN (TO_DATE('01-JUL-1998','DD-MON-YYYY')), PARTITION SALES_Q3_1998 VALUES LESS THAN (TO_DATE('01-OCT-1998','DD-MON-YYYY')), PARTITION SALES_Q4_1998 VALUES LESS THAN (TO_DATE('01-JAN-1999','DD-MON-YYYY')), PARTITION SALES_Q1_1999 VALUES LESS THAN (TO_DATE('01-APR-1999','DD-MON-YYYY')), PARTITION SALES_Q2_1999 VALUES LESS THAN (TO_DATE('01-JUL-1999','DD-MON-YYYY')), PARTITION SALES_Q3_1999 VALUES LESS THAN (TO_DATE('01-OCT-1999','DD-MON-YYYY')), PARTITION SALES_Q4_1999 VALUES LESS THAN (TO_DATE('01-JAN-2000','DD-MON-YYYY')), PARTITION SALES_Q1_2000 VALUES LESS THAN (TO_DATE('01-APR-2000','DD-MON-YYYY')), PARTITION SALES_Q2_2000 VALUES LESS THAN (TO_DATE('01-JUL-2000','DD-MON-YYYY')), PARTITION SALES_Q3_2000 VALUES LESS THAN (TO_DATE('01-OCT-2000','DD-MON-YYYY')), PARTITION SALES_Q4_2000 VALUES LESS THAN (MAXVALUE)) ;
For information about partitioned table maintenance operations, see Oracle Database VLDB and Partitioning Guide.
Range Partitioning Live SQL Example
The following statement creates a table partitioned by range:
CREATE TABLE empl_h ( employee_id NUMBER(6) PRIMARY KEY, first_name VARCHAR2(20), last_name VARCHAR2(25), email VARCHAR2(25), phone_number VARCHAR2(20), hire_date DATE DEFAULT SYSDATE, job_id VARCHAR2(10), salary NUMBER(8, 2), part_name VARCHAR2(25) ) PARTITION BY RANGE (hire_date) ( PARTITION hire_q1 VALUES less than(to_date('01-APR-2014', 'DD-MON-YYYY')), PARTITION hire_q2 VALUES less than(to_date('01-JUL-2014', 'DD-MON-YYYY')), PARTITION hire_q3 VALUES less than(to_date('01-OCT-2014', 'DD-MON-YYYY')), PARTITION hire_q4 VALUES less than(to_date('01-JAN-2015', 'DD-MON-YYYY')) );
The following statements insert rows into the partitions:
INSERT INTO empl_h (employee_id, first_name, last_name, email, phone_number, hire_date, job_id, salary, Part_name) VALUES (1, 'Jane', 'Doe', 'example.com', '415.555.0100', '10-Feb-2014', '1001', 5001,'HIRE_Q1'); INSERT INTO empl_h (employee_id, first_name, last_name, email, phone_number, hire_date, job_id, salary, Part_name) VALUES (2, 'John', 'Doe', 'example.net', '415.555.0101', '10-Apr-2014', '1002', 7001,'HIRE_Q2'); INSERT INTO empl_h (employee_id, first_name, last_name, email, phone_number, hire_date, job_id, salary, Part_name) VALUES (3, 'Isabelle', 'Owl', 'example.org', '415.555.0102', '10-Sep-2014', '1003', 10001,'HIRE_Q3'); INSERT INTO empl_h (employee_id, first_name, last_name, email, phone_number, hire_date, job_id, salary, Part_name) VALUES (4, 'Smith', 'Jones', 'example.in', '415.555.0103', '10-Dec-2014', '1004', 12001,'HIRE_Q4');
The following statements display the partition names using data dictionary tables:
SELECT PARTITION_NAME FROM USER_TAB_PARTITIONS WHERE TABLE_NAME = 'EMPL_H'; PARTITION_NAME ---------------- HIRE_Q1 HIRE_Q2 HIRE_Q3 HIRE_Q4 SELECT TABLE_NAME, PARTITIONING_TYPE, STATUS FROM USER_PART_TABLES WHERE TABLE_NAME = 'EMPL_H'; TABLE_NAME PARTITIONING_TYPE STATUS ---------- ----------------- ------ EMPL_H RANGE VALID
The following statement creates a table named parts
by selecting a particular column from the data dictionary table user_tab_partitions
:
CREATE TABLE parts (p_name) AS SELECT PARTITION_NAME FROM USER_TAB_PARTITIONS WHERE TABLE_NAME = 'EMPL_H';
The following statement displays the table data:
select * from parts; P_NAME ----------- HIRE_Q1 HIRE_Q2 HIRE_Q3 HIRE_Q4
The following statement compares the columns from the two tables and displays the information based on the comparison:
select E.HIRE_DATE,E.JOB_ID,P.p_name from empl_h E, parts P where E.Part_name = P.p_name; HIRE_DATE JOB_ID P_NAME --------- ---------- ------------ 10-FEB-14 1001 HIRE_Q1 10-APR-14 1002 HIRE_Q2 10-SEP-14 1003 HIRE_Q3 10-DEC-14 1004 HIRE_Q4
Live SQL:
View and run a related example on Oracle Live SQL at Create Range Partitioned Table and View Table Details
Interval Partitioning Example
The following example creates a variation of the oe.customers
table that is partitioned by interval on the credit_limit
column. One range partition is created to establish the transition point. All of the original data in the table is within the bounds of the range partition. Then data is added that exceeds the range partition, and the database creates a new interval partition.
CREATE TABLE customers_demo ( customer_id number(6), cust_first_name varchar2(20), cust_last_name varchar2(20), credit_limit number(9,2)) PARTITION BY RANGE (credit_limit) INTERVAL (1000) (PARTITION p1 VALUES LESS THAN (5001)); INSERT INTO customers_demo (customer_id, cust_first_name, cust_last_name, credit_limit) (select customer_id, cust_first_name, cust_last_name, credit_limit from customers);
Query the USER_TAB_PARTITIONS
data dictionary view before the database creates the interval partition:
SELECT partition_name, high_value FROM user_tab_partitions WHERE table_name = 'CUSTOMERS_DEMO'; PARTITION_NAME HIGH_VALUE ------------------------------ --------------- P1 5001
Insert data into the table that exceeds the high value of the range partition:
INSERT INTO customers_demo VALUES (699, 'Fred', 'Flintstone', 5500);
Query the USER_TAB_PARTITIONS
view again after the insert to learn the system-generated name of the interval partition created to accommodate the inserted data. (The system-generated name will vary for each session.)
SELECT partition_name, high_value FROM user_tab_partitions WHERE table_name = 'CUSTOMERS_DEMO' ORDER BY partition_name; PARTITION_NAME HIGH_VALUE ------------------------------ --------------- P1 5001 SYS_P44 6001
List Partitioning Example
The following statement shows how the sample table oe.customers
might have been created as a list-partitioned table. Some columns and all constraints of the sample table have been omitted in this example.
CREATE TABLE list_customers ( customer_id NUMBER(6) , cust_first_name VARCHAR2(20) , cust_last_name VARCHAR2(20) , cust_address CUST_ADDRESS_TYP , nls_territory VARCHAR2(30) , cust_email VARCHAR2(40)) PARTITION BY LIST (nls_territory) ( PARTITION asia VALUES ('CHINA', 'THAILAND'), PARTITION europe VALUES ('GERMANY', 'ITALY', 'SWITZERLAND'), PARTITION west VALUES ('AMERICA'), PARTITION east VALUES ('INDIA'), PARTITION rest VALUES (DEFAULT));
Partitioned Table with LOB Columns Example
This statement creates a partitioned table print_media_demo
with two partitions p1
and p2
, and a number of LOB columns. The statement uses the sample table pm.print_media
.
CREATE TABLE print_media_demo ( product_id NUMBER(6) , ad_id NUMBER(6) , ad_composite BLOB , ad_sourcetext CLOB , ad_finaltext CLOB , ad_fltextn NCLOB , ad_textdocs_ntab textdoc_tab , ad_photo BLOB , ad_graphic BFILE , ad_header adheader_typ ) NESTED TABLE ad_textdocs_ntab STORE AS textdocs_nestedtab_demo LOB (ad_composite, ad_photo, ad_finaltext) STORE AS(STORAGE (INITIAL 20M)) PARTITION BY RANGE (product_id) (PARTITION p1 VALUES LESS THAN (3000) TABLESPACE tbs_01 LOB (ad_composite, ad_photo) STORE AS (TABLESPACE tbs_02 STORAGE (INITIAL 10M)) NESTED TABLE ad_textdocs_ntab STORE AS nt_p1 (TABLESPACE example), PARTITION P2 VALUES LESS THAN (MAXVALUE) LOB (ad_composite, ad_finaltext) STORE AS SECUREFILE (TABLESPACE auto_seg_ts) NESTED TABLE ad_textdocs_ntab STORE AS nt_p2 ) TABLESPACE tbs_03;
Partition p1
will be in tablespace tbs_01
. The LOB data partitions for ad_composite
and ad_photo
will be in tablespace tbs_02
. The LOB data partition for the remaining LOB columns will be in tablespace tbs_01
. The storage attribute INITIAL
is specified for LOB columns ad_composite
and ad_photo
. Other attributes will be inherited from the default table-level specification. The default LOB storage attributes not specified at the table level will be inherited from the tablespace tbs_02
for columns ad_composite
and ad_photo
and from tablespace tbs_01
for the remaining LOB columns. LOB index partitions will be in the same tablespaces as the corresponding LOB data partitions. Other storage attributes will be based on values of the corresponding attributes of the LOB data partitions and default attributes of the tablespace where the index partitions reside. The nested table partition for ad_textdocs_ntab will be stored as nt_p1
in tablespace example
.
Partition p2
will be in the default tablespace tbs_03
. The LOB data for ad_composite
and ad_finaltext
will be in tablespace auto_seg_ts
as SecureFiles LOBs. The LOB data for the remaining LOB columns will be in tablespace tbs_03
. The LOB index for columns ad_composite
and ad_finaltext
will be in tablespace auto_seg_ts
. The LOB index for the remaining LOB columns will be in tablespace tbs_03
. The nested table partition for ad_textdocs_ntab
will be stored as nt_p2
in the default tablespace tbs_03
.
Hash Partitioning Example
The sample table oe.product_information
is not partitioned. However, you might want to partition such a large table by hash for performance reasons, as shown in this example. The tablespace names are hypothetical in this example.
CREATE TABLE hash_products ( product_id NUMBER(6) PRIMARY KEY , product_name VARCHAR2(50) , product_description VARCHAR2(2000) , category_id NUMBER(2) , weight_class NUMBER(1) , warranty_period INTERVAL YEAR TO MONTH , supplier_id NUMBER(6) , product_status VARCHAR2(20) , list_price NUMBER(8,2) , min_price NUMBER(8,2) , catalog_url VARCHAR2(50) , CONSTRAINT product_status_lov_demo CHECK (product_status in ('orderable' ,'planned' ,'under development' ,'obsolete') ) ) PARTITION BY HASH (product_id) PARTITIONS 4 STORE IN (tbs_01, tbs_02, tbs_03, tbs_04);
Reference Partitioning Example
The next statement uses the hash_products
partitioned table created in the preceding example. It creates a variation of the oe.order_items
table that is partitioned by reference to the hash partitioning on the product id of hash_products
. The resulting child table will be created with five partitions. For each row of the child table part_order_items
, the database evaluates the foreign key value (product_id
) to determine the partition number of the parent table hash_products
to which the referenced key belongs. The part_order_items
row is placed in its corresponding partition.
CREATE TABLE part_order_items ( order_id NUMBER(12) PRIMARY KEY, line_item_id NUMBER(3), product_id NUMBER(6) NOT NULL, unit_price NUMBER(8,2), quantity NUMBER(8), CONSTRAINT product_id_fk FOREIGN KEY (product_id) REFERENCES hash_products(product_id)) PARTITION BY REFERENCE (product_id_fk);
Composite-Partitioned Table Examples
The table created in the "Range Partitioning Example" divides data by time of sale. If you plan to access recent data according to distribution channel as well as time, then composite partitioning might be more appropriate. The following example creates a copy of that range_sales
table but specifies range-hash composite partitioning. The partitions with the most recent data are subpartitioned with both system-generated and user-defined subpartition names. Constraints and storage attributes have been omitted from the example.
CREATE TABLE composite_sales ( prod_id NUMBER(6) , cust_id NUMBER , time_id DATE , channel_id CHAR(1) , promo_id NUMBER(6) , quantity_sold NUMBER(3) , amount_sold NUMBER(10,2) ) PARTITION BY RANGE (time_id) SUBPARTITION BY HASH (channel_id) (PARTITION SALES_Q1_1998 VALUES LESS THAN (TO_DATE('01-APR-1998','DD-MON-YYYY')), PARTITION SALES_Q2_1998 VALUES LESS THAN (TO_DATE('01-JUL-1998','DD-MON-YYYY')), PARTITION SALES_Q3_1998 VALUES LESS THAN (TO_DATE('01-OCT-1998','DD-MON-YYYY')), PARTITION SALES_Q4_1998 VALUES LESS THAN (TO_DATE('01-JAN-1999','DD-MON-YYYY')), PARTITION SALES_Q1_1999 VALUES LESS THAN (TO_DATE('01-APR-1999','DD-MON-YYYY')), PARTITION SALES_Q2_1999 VALUES LESS THAN (TO_DATE('01-JUL-1999','DD-MON-YYYY')), PARTITION SALES_Q3_1999 VALUES LESS THAN (TO_DATE('01-OCT-1999','DD-MON-YYYY')), PARTITION SALES_Q4_1999 VALUES LESS THAN (TO_DATE('01-JAN-2000','DD-MON-YYYY')), PARTITION SALES_Q1_2000 VALUES LESS THAN (TO_DATE('01-APR-2000','DD-MON-YYYY')), PARTITION SALES_Q2_2000 VALUES LESS THAN (TO_DATE('01-JUL-2000','DD-MON-YYYY')) SUBPARTITIONS 8, PARTITION SALES_Q3_2000 VALUES LESS THAN (TO_DATE('01-OCT-2000','DD-MON-YYYY')) (SUBPARTITION ch_c, SUBPARTITION ch_i, SUBPARTITION ch_p, SUBPARTITION ch_s, SUBPARTITION ch_t), PARTITION SALES_Q4_2000 VALUES LESS THAN (MAXVALUE) SUBPARTITIONS 4) ;
The following examples creates a partitioned table of customers based on the sample table oe.customers
. In this example, the table is partitioned on the credit_limit
column and list subpartitioned on the nls_territory
column. The subpartition template determines the subpartitioning of any subsequently added partitions, unless you override the template by defining individual subpartitions. This composite partitioning makes it possible to query the table based on a credit limit range within a specified region:
CREATE TABLE customers_part ( customer_id NUMBER(6), cust_first_name VARCHAR2(20), cust_last_name VARCHAR2(20), nls_territory VARCHAR2(30), credit_limit NUMBER(9,2)) PARTITION BY RANGE (credit_limit) SUBPARTITION BY LIST (nls_territory) SUBPARTITION TEMPLATE (SUBPARTITION east VALUES ('CHINA', 'JAPAN', 'INDIA', 'THAILAND'), SUBPARTITION west VALUES ('AMERICA', 'GERMANY', 'ITALY', 'SWITZERLAND'), SUBPARTITION other VALUES (DEFAULT)) (PARTITION p1 VALUES LESS THAN (1000), PARTITION p2 VALUES LESS THAN (2500), PARTITION p3 VALUES LESS THAN (MAXVALUE));
Object Column and Table Examples
Creating Object Tables: Examples
Consider object type department_typ
:
CREATE TYPE department_typ AS OBJECT ( d_name VARCHAR2(100), d_address VARCHAR2(200) ); /
Object table departments_obj_t
holds department objects of type department_typ
:
CREATE TABLE departments_obj_t OF department_typ;
The following statement creates object table salesreps
with a user-defined object type, salesrep_typ
:
CREATE OR REPLACE TYPE salesrep_typ AS OBJECT ( repId NUMBER, repName VARCHAR2(64)); CREATE TABLE salesreps OF salesrep_typ;
Creating a Table with a User-Defined Object Identifier: Example
This example creates an object type and a corresponding object table whose object identifier is primary key based:
CREATE TYPE employees_typ AS OBJECT (e_no NUMBER, e_address CHAR(30)); / CREATE TABLE employees_obj_t OF employees_typ (e_no PRIMARY KEY) OBJECT IDENTIFIER IS PRIMARY KEY;
You can subsequently reference the employees_obj_t
object table using either inline_ref_constraint
or out_of_line_ref_constraint
syntax:
CREATE TABLE departments_t (d_no NUMBER, mgr_ref REF employees_typ SCOPE IS employees_obj_t); CREATE TABLE departments_t ( d_no NUMBER, mgr_ref REF employees_typ CONSTRAINT mgr_in_emp REFERENCES employees_obj_t);
Specifying Constraints on Type Columns: Example
The following example shows how to define constraints on attributes of an object type column:
CREATE TYPE address_t AS OBJECT ( hno NUMBER, street VARCHAR2(40), city VARCHAR2(20), zip VARCHAR2(5), phone VARCHAR2(10) ); / CREATE TYPE person AS OBJECT ( name VARCHAR2(40), dateofbirth DATE, homeaddress address_t, manager REF person ); / CREATE TABLE persons OF person ( homeaddress NOT NULL, UNIQUE (homeaddress.phone), CHECK (homeaddress.zip IS NOT NULL), CHECK (homeaddress.city <> 'San Francisco') );