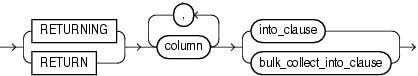
The RETURNING
INTO
clause specifies the variables in which to store the values returned by the statement to which the clause belongs.
The variables can be either individual variables or collections. If the statement affects no rows, then the values of the variables are undefined.
The static RETURNING
INTO
clause belongs to a DELETE
, INSERT
, or UPDATE
statement. The dynamic RETURNING
INTO
clause belongs to the EXECUTE
IMMEDIATE
statement.
Note:
You cannot use the RETURNING
INTO
clause for remote or parallel deletes.
Topics
Syntax
static_returning_clause ::=
dynamic_returning_clause ::=
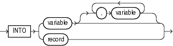
into_clause ::=
bulk_collect_into_clause ::=
Semantics
static_returning_clause
column
Expression whose value is the name of a column of a database table.
into_clause
Specifies the variables or record in which to store the column values that the statement returns.
Restriction on into_clause
Use into_clause
in dynamic_returning_clause
if and only if dynamic_sql_stmt
(which appears in "EXECUTE IMMEDIATE Statement") returns a single row.
record
The name of a record variable in which to store the row that the statement returns. For each select_item
in the statement, the record must have a corresponding, type-compatible field.
variable
Either the name of a scalar variable in which to store a column that the statement returns or the name of a host cursor variable that is declared in a PL/SQL host environment and passed to PL/SQL as a bind variable. Each select_item
in the statement must have a corresponding, type-compatible variable. The data type of a host cursor variable is compatible with the return type of any PL/SQL cursor variable.
Restriction on variable
variable
cannot have the data type BOOLEAN
.
bulk_collect_into_clause
Specifies one or more existing collections or host arrays in which to store the rows that the statement returns. For each select_item
in the statement, bulk_collect_into_clause
must have a corresponding, type-compatible collection
or host_array
.
For the reason to use this clause, see "Bulk SQL and Bulk Binding".
Restrictions on bulk_collect_into_clause
Use the bulk_collect_into_clause
clause in dynamic_returning_clause
if and only if dynamic_sql_stmt
(which appears in "EXECUTE IMMEDIATE Statement") can return multiple rows.
You cannot use bulk_collect_into_clause
in client programs.
When the statement that includes bulk_collect_into_clause
requires implicit data type conversions, bulk_collect_into_clause
can have only one collection
or host_array
.
collection
Name of a collection variable in which to store the rows that the statement returns.
Restrictions on collection
collection
cannot be the name of an associative array that is indexed by a string.
When the statement requires implicit data type conversions, collection
cannot be the name of a collection of a composite type.
:host_array
Name of an array declared in a PL/SQL host environment and passed to PL/SQL as a bind variable. Do not put space between the colon (:) and host_array
.
Examples
Example 5-50, "UPDATE Statement Assigns Values to Record Variable"
Example 6-1, "Static SQL Statements"
Example 12-25, "Returning Deleted Rows in Two Nested Tables"
Example 12-26, "DELETE with RETURN BULK COLLECT INTO in FORALL Statement"
Related Topics
In this chapter:
In other chapters: