Enables the function for parallel execution, making it safe for use in slave sessions of parallel DML evaluations.
Indicates that the function can run from a parallel execution server of a parallel query operation.
Topics
Syntax
parallel_enable_clause ::=
streaming_clause ::=
Semantics
parallel_enable_clause
The parallel_enable_clause can appear only once in the function.
The function must not use session state, such as package variables, because those variables are not necessarily shared among the parallel execution servers.
Use the optional PARTITION
argument
BY
clause only with a function that has a REF
CURSOR
data type. This clause lets you define the partitioning of the inputs to the function from the REF
CURSOR
argument. Partitioning the inputs to the function affects the way the query is parallelized when the function is used as a table function in the FROM
clause of the query.
ANY
Indicates that the data can be partitioned randomly among the parallel execution servers
Note:
You can partition weak cursor variable arguments to table functions only with ANY
, not with RANGE
, HASH
, or VALUE
.
RANGE or HASH
Partitions data into specified columns that are returned by the REF
CURSOR
argument of the function.
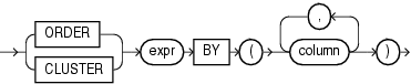
streaming_clause
The optional streaming_clause
lets you order or cluster the parallel processing.
ORDER BY | CLUSTER BY
ORDER
BY
or CLUSTER
BY
indicates that the rows on a parallel execution server must be locally ordered and have the same key values as specified by the column
list.
VALUE
Specifies direct-key partitioning, which is intended for table functions used when executing MapReduce workloads. The column
must be of data type NUMBER
. VALUE
distributes row processing uniformly over the available reducers.
If the column has more reducer numbers than there are available reducers, then PL/SQL uses a modulus operation to map the reducer numbers in the column into the correct range.
When calculating the number of the reducer to process the corresponding row, PL/SQL treats a negative value as zero and rounds a positive fractional value to the nearest integer.
See Also:
Oracle Database Data Cartridge Developer's Guide for information about using parallel table functions
expr
expr identifies the REF
CURSOR
parameter name of the table function on which partitioning was specified, and on whose columns you are specifying ordering or clustering for each slave in a parallel query execution.
Restriction on parallel_enable_clause
You cannot specify parallel_enable_clause for a nested function.
Related Topics
In this chapter:
In other chapters: