Syntax
Purpose
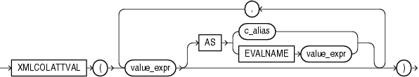
XMLColAttVal
creates an XML fragment and then expands the resulting XML so that each XML fragment has the name column
with the attribute name
.
You can use the AS
clause to change the value of the name
attribute to something other than the column name. You can do this by specifying c_alias
, which is a string literal, or by specifying EVALNAME
value_expr
. In the latter case, the value expression is evaluated and the result, which must be a string literal, is used as the alias. The alias can be up to 4000 characters if the initialization parameter MAX_STRING_SIZE
=
STANDARD
, and 32767 characters if MAX_STRING_SIZE
=
EXTENDED
. See "Extended Data Types" for more information.
You must specify a value for value_expr
. If value_expr
is null, then no element is returned.
Restriction on XMLColAttVal
You cannot specify an object type column for value_expr
.
Examples
The following example creates an Emp
element for a subset of employees, with nested employee_id
, last_name
, and salary
elements as the contents of Emp
. Each nested element is named column
and has a name
attribute with the column name as the attribute value:
SELECT XMLELEMENT("Emp", XMLCOLATTVAL(e.employee_id, e.last_name, e.salary)) "Emp Element" FROM employees e WHERE employee_id = 204; Emp Element -------------------------------------------------------------------- <Emp> <column name="EMPLOYEE_ID">204</column> <column name="LAST_NAME">Baer</column> <column name="SALARY">10000</column> </Emp>
Refer to the example for XMLFOREST to compare the output of these two functions.