JSON_OBJECTAGG

Purpose

The SQL/JSON function JSON_OBJECTAGG is an aggregate function. It takes as its input a property key-value pair. Typically, the property key, the property value, or both are columns of SQL expressions. This function constructs an object member for each key-value pair and returns a single JSON object that contains those object members.

[KEY] string VALUE expr

Use this clause to specify property key-value pairs.

  • KEY is optional and is provided for semantic clarity.

  • Use string to specify the property key name as a case-sensitive text literal.

  • Use expr to specify the property value. For expr, you can specify any expression that evaluates to a SQL numeric literal or text literal. If expr evaluates to a numeric literal, then the resulting property value is a JSON number value; otherwise, the resulting property value is a case-sensitive JSON string value enclosed in double quotation marks.

FORMAT JSON

This clause is optional and is provided for semantic clarity.

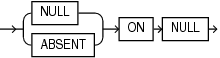
JSON_on_null_clause

Use this clause to specify the behavior of this function when expr evaluates to null.

  • NULL ON NULL - If you specify this clause, then the function returns the JSON null value. This is the default.

  • ABSENT ON NULL - If you specify this clause, then the function omits the property key-value pair from the JSON object.

JSON_agg_returning_clause

Use this clause to specify the data type of the character string returned by this function. You can specify the following data types:

  • VARCHAR2[(size [BYTE,CHAR])]

    When specifying the VARCHAR2 data type elsewhere in SQL, you are required to specify a size. However, in this clause you can omit the size.

  • CLOB

If you omit this clause, or if you specify VARCHAR2 but omit the size value, then JSON_OBJECTAGG returns a character string of type VARCHAR2(4000).

Refer to "Data Types" for more information on the preceding data types.

Examples

The following example constructs a JSON object whose members contain department names and department numbers:

SELECT JSON_OBJECTAGG(KEY department_name VALUE department_id) "Department Numbers"
  FROM departments
  WHERE department_id <= 30;

Department Numbers
----------------------------------------------------
{"Administration":10,"Marketing":20,"Purchasing":30}