INSERT

Purpose

Use the INSERT statement to add rows to a table, the base table of a view, a partition of a partitioned table or a subpartition of a composite-partitioned table, or an object table or the base table of an object view.

Prerequisites

For you to insert rows into a table, the table must be in your own schema or you must have the INSERT object privilege on the table.

For you to insert rows into the base table of a view, the owner of the schema containing the view must have the INSERT object privilege on the base table. Also, if the view is in a schema other than your own, then you must have the INSERT object privilege on the view.

If you have the INSERT ANY TABLE system privilege, then you can also insert rows into any table or the base table of any view.

You must also have the SELECT object privilege on the table into which you want to insert rows if the table is on a remote database.

Conventional and Direct-Path INSERT

You can use the INSERT statement to insert data into a table, partition, or view in two ways: conventional INSERT and direct-path INSERT. When you issue a conventional INSERT statement, Oracle Database reuses free space in the table into which you are inserting and maintains referential integrity constraints. With direct-path INSERT, the database appends the inserted data after existing data in the table. Data is written directly into data files, bypassing the buffer cache. Free space in the existing data is not reused. This alternative enhances performance during insert operations and is similar to the functionality of the Oracle direct-path loader utility, SQL*Loader. When you insert into a table that has been created in parallel mode, direct-path INSERT is the default.

The manner in which the database generates redo and undo data depends in part on whether you are using conventional or direct-path INSERT:

  • Conventional INSERT always generates maximal redo and undo for changes to both data and metadata, regardless of the logging setting of the table and the archivelog and force logging settings of the database.

  • Direct-path INSERT generates both redo and undo for metadata changes, because these are needed for operation recovery. For data changes, undo and redo are generated as follows:

    • Direct-path INSERT always bypasses undo generation for data changes.

    • If the database is not in ARCHIVELOG or FORCE LOGGING mode, then no redo is generated for data changes, regardless of the logging setting of the table.

    • If the database is in ARCHIVELOG mode (but not in FORCE LOGGING mode), then direct-path INSERT generates data redo for LOGGING tables but not for NOLOGGING tables.

    • If the database is in ARCHIVELOG and FORCE LOGGING mode, then direct-path SQL generate data redo for both LOGGING and NOLOGGING tables.

Direct-path INSERT is subject to a number of restrictions. If any of these restrictions is violated, then Oracle Database executes conventional INSERT serially without returning any message, unless otherwise noted:

  • You can have multiple direct-path INSERT statements in a single transaction, with or without other DML statements. However, after one DML statement alters a particular table, partition, or index, no other DML statement in the transaction can access that table, partition, or index.

  • Queries that access the same table, partition, or index are allowed before the direct-path INSERT statement, but not after it.

  • If any serial or parallel statement attempts to access a table that has already been modified by a direct-path INSERT in the same transaction, then the database returns an error and rejects the statement.

  • The target table cannot be of a cluster.

  • The target table cannot contain object type columns.

  • Direct-path INSERT is not supported for an index-organized table (IOT) if it is not partitioned, if it has a mapping table, or if it is reference by a materialized view.

  • Direct-path INSERT into a single partition of an index-organized table (IOT), or into a partitioned IOT with only one partition, will be done serially, even if the IOT was created in parallel mode or you specify the APPEND or APPEND_VALUES hint. However, direct-path INSERT operations into a partitioned IOT will honor parallel mode as long as the partition-extended name is not used and the IOT has more than one partition.

  • The target table cannot have any triggers or referential integrity constraints defined on it.

  • The target table cannot be replicated.

  • A transaction containing a direct-path INSERT statement cannot be or become distributed.

You cannot query or modify direct-path inserted data immediately after the insert is complete. If you attempt to do so, an ORA-12838 error is generated. You must first issue a COMMIT statement before attempting to read or modify the newly-inserted data.

See Also:

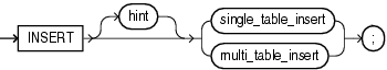
Syntax

insert::=

Description of insert.gif follows
Description of the illustration ''insert.gif''

(single_table_insert ::=, multi_table_insert ::=)

single_table_insert ::=

Description of single_table_insert.gif follows
Description of the illustration ''single_table_insert.gif''

(insert_into_clause ::=, values_clause ::=, returning_clause::=, subquery::=, error_logging_clause ::=)

insert_into_clause ::=

Description of insert_into_clause.gif follows
Description of the illustration ''insert_into_clause.gif''

(DML_table_expression_clause::=)

values_clause ::=

Description of values_clause.gif follows
Description of the illustration ''values_clause.gif''

returning_clause::=

Description of returning_clause.gif follows
Description of the illustration ''returning_clause.gif''

multi_table_insert ::=

Description of multi_table_insert.gif follows
Description of the illustration ''multi_table_insert.gif''

(insert_into_clause ::=, values_clause ::=, conditional_insert_clause ::=, subquery::=, error_logging_clause ::=)

conditional_insert_clause ::=

Description of conditional_insert_clause.gif follows
Description of the illustration ''conditional_insert_clause.gif''

(insert_into_clause ::=, values_clause ::=)

DML_table_expression_clause::=

Description of dml_table_expression_clause.gif follows
Description of the illustration ''dml_table_expression_clause.gif''

(partition_extension_clause::=, subquery::=—part of SELECT, subquery_restriction_clause::=, table_collection_expression ::=)

partition_extension_clause::=

Description of partition_extension_clause.gif follows
Description of the illustration ''partition_extension_clause.gif''

subquery_restriction_clause::=

Description of subquery_restriction_clause.gif follows
Description of the illustration ''subquery_restriction_clause.gif''

table_collection_expression ::=

Description of table_collection_expression.gif follows
Description of the illustration ''table_collection_expression.gif''

error_logging_clause ::=

Description of error_logging_clause.gif follows
Description of the illustration ''error_logging_clause.gif''

Semantics

hint

Specify a comment that passes instructions to the optimizer on choosing an execution plan for the statement.

For a multitable insert, if you specify the PARALLEL hint for any target table, then the entire multitable insert statement is parallelized even if the target tables have not been created or altered with PARALLEL specified. If you do not specify the PARALLEL hint, then the insert operation will not be parallelized unless all target tables were created or altered with PARALLEL specified.

See Also:

single_table_insert

In a single-table insert, you insert values into one row of a table, view, or materialized view by specifying values explicitly or by retrieving the values through a subquery.

You can use the flashback_query_clause in subquery to insert past data into table. Refer to the flashback_query_clause of SELECT for more information on this clause.

Restriction on Single-table Inserts If you retrieve values through a subquery, then the select list of the subquery must have the same number of columns as the column list of the INSERT statement. If you omit the column list, then the subquery must provide values for every column in the table.

insert_into_clause

Use the INSERT INTO clause to specify the target object or objects into which the database is to insert data.

DML_table_expression_clause

Use the INTO DML_table_expression_clause to specify the objects into which data is being inserted.

schema Specify the schema containing the table, view, or materialized view. If you omit schema, then the database assumes the object is in your own schema.

table | view | materialized_view | subquery Specify the name of the table or object table, view or object view, materialized view, or the column or columns returned by a subquery, into which rows are to be inserted. If you specify a view or object view, then the database inserts rows into the base table of the view.

You cannot insert rows into a read-only materialized view. If you insert rows into a writable materialized view, then the database inserts the rows into the underlying container table. However, the insertions are overwritten at the next refresh operation. If you insert rows into an updatable materialized view that is part of a materialized view group, then the database also inserts the corresponding rows into the master table.

If any value to be inserted is a REF to an object table, and if the object table has a primary key object identifier, then the column into which you insert the REF must be a REF column with a referential integrity or SCOPE constraint to the object table.

If table, or the base table of view, contains one or more domain index columns, then this statement executes the appropriate indextype insert routine.

Issuing an INSERT statement against a table fires any INSERT triggers defined on the table.

See Also:

Oracle Database Data Cartridge Developer's Guide for more information on these routines

Restrictions on the DML_table_expression_clause This clause is subject to the following restrictions:

  • You cannot execute this statement if table or the base table of view contains any domain indexes marked IN_PROGRESS or FAILED.

  • You cannot insert into a partition if any affected index partitions are marked UNUSABLE.

  • With regard to the ORDER BY clause of the subquery in the DML_table_expression_clause, ordering is guaranteed only for the rows being inserted, and only within each extent of the table. Ordering of new rows with respect to existing rows is not guaranteed.

  • If a view was created using the WITH CHECK OPTION, then you can insert into the view only rows that satisfy the defining query of the view.

  • If a view was created using a single base table, then you can insert rows into the view and then retrieve those values using the returning_clause.

  • You cannot insert rows into a view except with INSTEAD OF triggers if the defining query of the view contains one of the following constructs:

    A set operator
    A DISTINCT operator
    An aggregate or analytic function
    A GROUP BY, ORDER BY, MODEL, CONNECT BY, or START WITH clause
    A collection expression in a SELECT list
    A subquery in a SELECT list
    A subquery designated WITH READ ONLY
    Joins, with some exceptions, as documented in Oracle Database Administrator's Guide
  • If you specify an index, index partition, or index subpartition that has been marked UNUSABLE, then the INSERT statement will fail unless the SKIP_UNUSABLE_INDEXES session parameter has been set to TRUE. Refer to ALTER SESSION for information on the SKIP_UNUSABLE_INDEXES session parameter.

partition_extension_clause  Specify the name or partition key value of the partition or subpartition within table, or the base table of view, targeted for inserts.

If a row to be inserted does not map into a specified partition or subpartition, then the database returns an error.

Restriction on Target Partitions and Subpartitions This clause is not valid for object tables or object views.

dblink  Specify a complete or partial name of a database link to a remote database where the table or view is located. You can insert rows into a remote table or view only if you are using Oracle Database distributed functionality.

If you omit dblink, then Oracle Database assumes that the table or view is on the local database.

subquery_restriction_clause Use the subquery_restriction_clause to restrict the subquery in one of the following ways:

WITH READ ONLY Specify WITH READ ONLY to indicate that the table or view cannot be updated.

WITH CHECK OPTION Specify WITH CHECK OPTION to indicate that Oracle Database prohibits any changes to the table or view that would produce rows that are not included in the subquery. When used in the subquery of a DML statement, you can specify this clause in a subquery in the FROM clause but not in subquery in the WHERE clause.

CONSTRAINT constraint Specify the name of the CHECK OPTION constraint. If you omit this identifier, then Oracle automatically assigns the constraint a name of the form SYS_Cn, where n is an integer that makes the constraint name unique within the database.

table_collection_expression  

The table_collection_expression lets you inform Oracle that the value of collection_expression should be treated as a table for purposes of query and DML operations. The collection_expression can be a subquery, a column, a function, or a collection constructor. Regardless of its form, it must return a collection value—that is, a value whose type is nested table or varray. This process of extracting the elements of a collection is called collection unnesting.

The optional plus (+) is relevant if you are joining the TABLE collection expression with the parent table. The + creates an outer join of the two, so that the query returns rows from the outer table even if the collection expression is null.

Note:

In earlier releases of Oracle, when collection_expression was a subquery, table_collection_expression was expressed as THE subquery. That usage is now deprecated.

t_alias

Specify a correlation name, which is an alias for the table, view, materialized view, or subquery to be referenced elsewhere in the statement.

Restriction on Table Aliases You cannot specify t_alias during a multitable insert.

column

Specify a column of the table, view, or materialized view. In the inserted row, each column in this list is assigned a value from the values_clause or the subquery.

If you omit one or more of the table's columns from this list, then the column value of that column for the inserted row is the column default value as specified when the table was created or last altered. If any omitted column has a NOT NULL constraint and no default value, then the database returns an error indicating that the constraint has been violated and rolls back the INSERT statement. Refer to CREATE TABLE for more information on default column values.

If you omit the column list altogether, then the values_clause or query must specify values for all columns in the table.

values_clause

For a single-table insert operation, specify a row of values to be inserted into the table or view. You must specify a value in the values_clause for each column in the column list. If you omit the column list, then the values_clause must provide values for every column in the table.

For a multitable insert operation, each expression in the values_clause must refer to columns returned by the select list of the subquery. If you omit the values_clause, then the select list of the subquery determines the values to be inserted, so it must have the same number of columns as the column list of the corresponding insert_into_clause. If you do not specify a column list in the insert_into_clause, then the computed row must provide values for all columns in the target table.

For both types of insert operations, if you specify a column list in the insert_into_clause, then the database assigns to each column in the list a corresponding value from the values clause or the subquery. You can specify DEFAULT for any value in the values_clause. If you have specified a default value for the corresponding column of the table or view, then that value is inserted. If no default value for the corresponding column has been specified, then the database inserts null. Refer to "About SQL Expressions" and SELECT for syntax of valid expressions.

Restrictions on Inserted Values The value are subject to the following restrictions:

returning_clause

The returning clause retrieves the rows affected by a DML statement. You can specify this clause for tables and materialized views and for views with a single base table.

When operating on a single row, a DML statement with a returning_clause can retrieve column expressions using the affected row, rowid, and REFs to the affected row and store them in host variables or PL/SQL variables.

When operating on multiple rows, a DML statement with the returning_clause stores values from expressions, rowids, and REFs involving the affected rows in bind arrays.

expr Each item in the expr list must be a valid expression syntax.

INTO The INTO clause indicates that the values of the changed rows are to be stored in the variable(s) specified in data_item list.

data_item Each data_item is a host variable or PL/SQL variable that stores the retrieved expr value.

For each expression in the RETURNING list, you must specify a corresponding type-compatible PL/SQL variable or host variable in the INTO list.

Restrictions The following restrictions apply to the RETURNING clause:

  • The expr is restricted as follows:

    • For UPDATE and DELETE statements each expr must be a simple expression or a single-set aggregate function expression. You cannot combine simple expressions and single-set aggregate function expressions in the same returning_clause. For INSERT statements, each expr must be a simple expression. Aggregate functions are not supported in an INSERT statement RETURNING clause.

    • Single-set aggregate function expressions cannot include the DISTINCT keyword.

  • If the expr list contains a primary key column or other NOT NULL column, then the update statement fails if the table has a BEFORE UPDATE trigger defined on it.

  • You cannot specify the returning_clause for a multitable insert.

  • You cannot use this clause with parallel DML or with remote objects.

  • You cannot retrieve LONG types with this clause.

  • You cannot specify this clause for a view on which an INSTEAD OF trigger has been defined.

See Also:

Oracle Database PL/SQL Language Reference for information on using the BULK COLLECT clause to return multiple values to collection variables

multi_table_insert

In a multitable insert, you insert computed rows derived from the rows returned from the evaluation of a subquery into one or more tables.

Table aliases are not defined by the select list of the subquery. Therefore, they are not visible in the clauses dependent on the select list. For example, this can happen when trying to refer to an object column in an expression. To use an expression with a table alias, you must put the expression into the select list with a column alias, and then refer to the column alias in the VALUES clause or WHEN condition of the multitable insert.

ALL into_clause

Specify ALL followed by multiple insert_into_clauses to perform an unconditional multitable insert. Oracle Database executes each insert_into_clause once for each row returned by the subquery.

conditional_insert_clause

Specify the conditional_insert_clause to perform a conditional multitable insert. Oracle Database filters each insert_into_clause through the corresponding WHEN condition, which determines whether that insert_into_clause is executed. Each expression in the WHEN condition must refer to columns returned by the select list of the subquery. A single multitable insert statement can contain up to 127 WHEN clauses.

ALL If you specify ALL, the default value, then the database evaluates each WHEN clause regardless of the results of the evaluation of any other WHEN clause. For each WHEN clause whose condition evaluates to true, the database executes the corresponding INTO clause list.

FIRST If you specify FIRST, then the database evaluates each WHEN clause in the order in which it appears in the statement. For the first WHEN clause that evaluates to true, the database executes the corresponding INTO clause and skips subsequent WHEN clauses for the given row.

ELSE clause For a given row, if no WHEN clause evaluates to true, then:

  • If you have specified an ELSE clause, then the database executes the INTO clause list associated with the ELSE clause.

  • If you did not specify an else clause, then the database takes no action for that row.

Restrictions on Multitable Inserts Multitable inserts are subject to the following restrictions:

  • You can perform multitable inserts only on tables, not on views or materialized views.

  • You cannot perform a multitable insert into a remote table.

  • You cannot specify a TABLE collection expression when performing a multitable insert.

  • Multitable inserts are not parallelized if any target table is index organized or if any target table has a bitmap index defined on it.

  • Plan stability is not supported for multitable insert statements.

  • You cannot specify a sequence in any part of a multitable insert statement. A multitable insert is considered a single SQL statement. Therefore, the first reference to NEXTVAL generates the next number, and all subsequent references in the statement return the same number.

subquery

Specify a subquery that returns rows that are inserted into the table. The subquery can refer to any table, view, or materialized view, including the target tables of the INSERT statement. If the subquery selects no rows, then the database inserts no rows into the table.

You can use subquery in combination with the TO_LOB function to convert the values in a LONG column to LOB values in another column in the same or another table.

  • To migrate LONG values to LOB values in another column in a view, you must perform the migration on the base table and then add the LOB column to the view.

  • To migrate LONG values on a remote table to LOB values in a local table, you must perform the migration on the remote table using the TO_LOB function, and then perform an INSERT ... subquery operation to copy the LOB values from the remote table into the local table.

Notes on Inserting with a Subquery The following notes apply when inserting with a subquery:

error_logging_clause

The error_logging_clause lets you capture DML errors and the log column values of the affected rows and save them in an error logging table.

INTO table Specify the name of the error logging table. If you omit this clause, then the database assigns the default name generated by the DBMS_ERRLOG package. The default error log table name is ERR$_ followed by the first 25 characters of the name of the table upon which the DML operation is being executed.

simple_expression Specify the value to be used as a statement tag, so that you can identify the errors from this statement in the error logging table. The expression can be either a text literal, a number literal, or a general SQL expression such as a bind variable. You can also use a function expression if you convert it to a text literal — for example, TO_CHAR(SYSDATE).

REJECT LIMIT This clause lets you specify an integer as an upper limit for the number of errors to be logged before the statement terminates and rolls back any changes made by the statement. The default rejection limit is zero. For parallel DML operations, the reject limit is applied to each parallel server.

Restrictions on DML Error Logging

  • The following conditions cause the statement to fail and roll back without invoking the error logging capability:

    • Violated deferred constraints.

    • Any direct-path INSERT or MERGE operation that raises a unique constraint or index violation.

    • Any update operation UPDATE or MERGE that raises a unique constraint or index violation.

  • You cannot track errors in the error logging table for LONG, LOB, or object type columns. However, the table that is the target of the DML operation can contain these types of columns.

    • If you create or modify the corresponding error logging table so that it contains a column of an unsupported type, and if the name of that column corresponds to an unsupported column in the target DML table, then the DML statement fails at parse time.

    • If the error logging table does not contain any unsupported column types, then all DML errors are logged until the reject limit of errors is reached. For rows on which errors occur, column values with corresponding columns in the error logging table are logged along with the control information.

See Also:

Examples

Inserting Values into Tables: Examples The following statement inserts a row into the sample table departments:

INSERT INTO departments
   VALUES (280, 'Recreation', 121, 1700);

If the departments table had been created with a default value of 121 for the manager_id column, then you could issue the same statement as follows:

INSERT INTO departments
   VALUES (280, 'Recreation', DEFAULT, 1700);

The following statement inserts a row with six columns into the employees table. One of these columns is assigned NULL and another is assigned a number in scientific notation:

INSERT INTO employees (employee_id, last_name, email, 
      hire_date, job_id, salary, commission_pct) 
   VALUES (207, 'Gregory', 'pgregory@example.com', 
      sysdate, 'PU_CLERK', 1.2E3, NULL);

The following statement has the same effect as the preceding example, but uses a subquery in the DML_table_expression_clause:

INSERT INTO 
   (SELECT employee_id, last_name, email, hire_date, job_id, 
      salary, commission_pct FROM employees) 
   VALUES (207, 'Gregory', 'pgregory@example.com', 
      sysdate, 'PU_CLERK', 1.2E3, NULL);

Inserting Values with a Subquery: Example The following statement copies employees whose commission exceeds 25% of their salary into the bonuses table, which was created in "Merging into a Table: Example":

INSERT INTO bonuses
   SELECT employee_id, salary*1.1 
   FROM employees
   WHERE commission_pct > 0.25; 

Inserting Into a Table with Error Logging: Example The following statements create a raises table in the sample schema hr, create an error logging table using the DBMS_ERRLOG package, and populate the raises table with data from the employees table. One of the inserts violates the check constraint on raises, and that row can be seen in errlog. If more than ten errors had occurred, then the statement would have aborted, rolling back any insertions made:

CREATE TABLE raises (emp_id NUMBER, sal NUMBER 
   CONSTRAINT check_sal CHECK(sal > 8000));

EXECUTE DBMS_ERRLOG.CREATE_ERROR_LOG('raises', 'errlog');
INSERT INTO raises
   SELECT employee_id, salary*1.1 FROM employees
   WHERE commission_pct > .2
   LOG ERRORS INTO errlog ('my_bad') REJECT LIMIT 10;

SELECT ORA_ERR_MESG$, ORA_ERR_TAG$, emp_id, sal FROM errlog;

ORA_ERR_MESG$               ORA_ERR_TAG$         EMP_ID SAL
--------------------------- -------------------- ------ -------
ORA-02290: check constraint my_bad               161    7700
 (HR.SYS_C004266) violated

Inserting into a Remote Database: Example The following statement inserts a row into the employees table owned by the user hr on the database accessible by the database link remote:

INSERT INTO employees@remote
   VALUES (8002, 'Juan', 'Fernandez', 'juanf@example.com', NULL, 
   TO_DATE('04-OCT-1992', 'DD-MON-YYYY'), 'SH_CLERK', 3000, 
   NULL, 121, 20); 

Inserting Sequence Values: Example The following statement inserts a new row containing the next value of the departments_seq sequence into the departments table:

INSERT INTO departments 
   VALUES  (departments_seq.nextval, 'Entertainment', 162, 1400); 

Inserting Using Bind Variables: Example The following example returns the values of the inserted rows into output bind variables :bnd1 and :bnd2. The bind variables must first be declared.

INSERT INTO employees 
      (employee_id, last_name, email, hire_date, job_id, salary)
   VALUES 
   (employees_seq.nextval, 'Doe', 'john.doe@example.com', 
       SYSDATE, 'SH_CLERK', 2400) 
   RETURNING salary*12, job_id INTO :bnd1, :bnd2;

Inserting into a Substitutable Tables and Columns: Examples The following example inserts into the persons table, which is created in "Substitutable Table and Column Examples". The first statement uses the root type person_t. The second insert uses the employee_t subtype of person_t, and the third insert uses the part_time_emp_t subtype of employee_t:

INSERT INTO persons VALUES (person_t('Bob', 1234));
INSERT INTO persons VALUES (employee_t('Joe', 32456, 12, 100000));
INSERT INTO persons VALUES (
   part_time_emp_t('Tim', 5678, 13, 1000, 20));

The following example inserts into the books table, which was created in "Substitutable Table and Column Examples". Notice that specification of the attribute values is identical to that for the substitutable table example:

INSERT INTO books VALUES (
   'An Autobiography', person_t('Bob', 1234));
INSERT INTO books VALUES (
   'Business Rules', employee_t('Joe', 3456, 12, 10000));
INSERT INTO books VALUES (
   'Mixing School and Work', 
   part_time_emp_t('Tim', 5678, 13, 1000, 20));

You can extract data from substitutable tables and columns using built-in functions and conditions. For examples, see the functions TREAT and SYS_TYPEID, and "IS OF type Condition".

Inserting Using the TO_LOB Function: Example The following example copies LONG data to a LOB column in the following long_tab table:

CREATE TABLE long_tab (pic_id NUMBER, long_pics LONG RAW);

First you must create a table with a LOB.

CREATE TABLE lob_tab (pic_id NUMBER, lob_pics BLOB);

Next, use an INSERT ... SELECT statement to copy the data in all rows for the LONG column into the newly created LOB column:

INSERT INTO lob_tab 
   SELECT pic_id, TO_LOB(long_pics) FROM long_tab;

When you are confident that the migration has been successful, you can drop the long_pics table. Alternatively, if the table contains other columns, then you can simply drop the LONG column from the table as follows:

ALTER TABLE long_tab DROP COLUMN long_pics;

Multitable Inserts: Examples  The following example uses the multitable insert syntax to insert into the sample table sh.sales some data from an input table with a different structure.

Note:

A number of NOT NULL constraints on the sales table have been disabled for purposes of this example, because the example ignores a number of table columns for the sake of brevity.

The input table looks like this:

SELECT * FROM sales_input_table;

PRODUCT_ID CUSTOMER_ID WEEKLY_ST  SALES_SUN  SALES_MON  SALES_TUE  SALES_WED SALES_THU  SALES_FRI  SALES_SAT
---------- ----------- --------- ---------- ---------- ---------- -------------------- ---------- ----------
       111         222 01-OCT-00        100        200        300        400       500        600        700
       222         333 08-OCT-00        200        300        400        500       600        700        800
       333         444 15-OCT-00        300        400        500        600       700        800        900

The multitable insert statement looks like this:

INSERT ALL
      INTO sales (prod_id, cust_id, time_id, amount)
      VALUES (product_id, customer_id, weekly_start_date, sales_sun)
      INTO sales (prod_id, cust_id, time_id, amount)
      VALUES (product_id, customer_id, weekly_start_date+1, sales_mon)
      INTO sales (prod_id, cust_id, time_id, amount)
      VALUES (product_id, customer_id, weekly_start_date+2, sales_tue)
      INTO sales (prod_id, cust_id, time_id, amount)
      VALUES (product_id, customer_id, weekly_start_date+3, sales_wed)
      INTO sales (prod_id, cust_id, time_id, amount)
      VALUES (product_id, customer_id, weekly_start_date+4, sales_thu)
      INTO sales (prod_id, cust_id, time_id, amount)
      VALUES (product_id, customer_id, weekly_start_date+5, sales_fri)
      INTO sales (prod_id, cust_id, time_id, amount)
      VALUES (product_id, customer_id, weekly_start_date+6, sales_sat)
   SELECT product_id, customer_id, weekly_start_date, sales_sun,
      sales_mon, sales_tue, sales_wed, sales_thu, sales_fri, sales_sat
      FROM sales_input_table;

Assuming these are the only rows in the sales table, the contents now look like this:

SELECT * FROM sales
   ORDER BY prod_id, cust_id, time_id;

   PROD_ID    CUST_ID TIME_ID   C   PROMO_ID QUANTITY_SOLD     AMOUNT       COST
---------- ---------- --------- - ---------- ------------- ---------- ----------
       111        222 01-OCT-00                                   100
       111        222 02-OCT-00                                   200
       111        222 03-OCT-00                                   300
       111        222 04-OCT-00                                   400
       111        222 05-OCT-00                                   500
       111        222 06-OCT-00                                   600
       111        222 07-OCT-00                                   700
       222        333 08-OCT-00                                   200
       222        333 09-OCT-00                                   300
       222        333 10-OCT-00                                   400
       222        333 11-OCT-00                                   500
       222        333 12-OCT-00                                   600
       222        333 13-OCT-00                                   700
       222        333 14-OCT-00                                   800
       333        444 15-OCT-00                                   300
       333        444 16-OCT-00                                   400
       333        444 17-OCT-00                                   500
       333        444 18-OCT-00                                   600
       333        444 19-OCT-00                                   700
       333        444 20-OCT-00                                   800
       333        444 21-OCT-00                                   900

The next examples insert into multiple tables. Suppose you want to provide to sales representatives some information on orders of various sizes. The following example creates tables for small, medium, large, and special orders and populates those tables with data from the sample table oe.orders:

CREATE TABLE small_orders 
   (order_id       NUMBER(12)   NOT NULL,
    customer_id    NUMBER(6)    NOT NULL,
    order_total    NUMBER(8,2),
    sales_rep_id   NUMBER(6)
   );

CREATE TABLE medium_orders AS SELECT * FROM small_orders;

CREATE TABLE large_orders AS SELECT * FROM small_orders;

CREATE TABLE special_orders 
   (order_id       NUMBER(12)    NOT NULL,
    customer_id    NUMBER(6)     NOT NULL,
    order_total    NUMBER(8,2),
    sales_rep_id   NUMBER(6),
    credit_limit   NUMBER(9,2),
    cust_email     VARCHAR2(30)
   );

The first multitable insert populates only the tables for small, medium, and large orders:

INSERT ALL
   WHEN order_total <= 100000 THEN
      INTO small_orders
   WHEN order_total > 100000 AND order_total <= 200000 THEN
      INTO medium_orders
   WHEN order_total > 200000 THEN
      INTO large_orders
   SELECT order_id, order_total, sales_rep_id, customer_id
      FROM orders;

You can accomplish the same thing using the ELSE clause in place of the insert into the large_orders table:

INSERT ALL
   WHEN order_total <= 100000 THEN
      INTO small_orders
   WHEN order_total > 100000 AND order_total <= 200000 THEN
      INTO medium_orders
   ELSE
      INTO large_orders
   SELECT order_id, order_total, sales_rep_id, customer_id
      FROM orders;

The next example inserts into the small, medium, and large tables, as in the preceding example, and also puts orders greater than 290,000 into the special_orders table. This table also shows how to use column aliases to simplify the statement:

INSERT ALL
   WHEN ottl <= 100000 THEN
      INTO small_orders
         VALUES(oid, ottl, sid, cid)
   WHEN ottl > 100000 and ottl <= 200000 THEN
      INTO medium_orders 
         VALUES(oid, ottl, sid, cid)
   WHEN ottl > 200000 THEN
      into large_orders
         VALUES(oid, ottl, sid, cid)
   WHEN ottl > 290000 THEN
      INTO special_orders
   SELECT o.order_id oid, o.customer_id cid, o.order_total ottl,
      o.sales_rep_id sid, c.credit_limit cl, c.cust_email cem
      FROM orders o, customers c
      WHERE o.customer_id = c.customer_id;

Finally, the next example uses the FIRST clause to put orders greater than 290,000 into the special_orders table and exclude those orders from the large_orders table:

INSERT FIRST
   WHEN ottl <= 100000 THEN
      INTO small_orders
         VALUES(oid, ottl, sid, cid)
   WHEN ottl > 100000 and ottl <= 200000 THEN
      INTO medium_orders
         VALUES(oid, ottl, sid, cid)
   WHEN ottl > 290000 THEN
      INTO special_orders
   WHEN ottl > 200000 THEN
      INTO large_orders
         VALUES(oid, ottl, sid, cid)
   SELECT o.order_id oid, o.customer_id cid, o.order_total ottl,
      o.sales_rep_id sid, c.credit_limit cl, c.cust_email cem
      FROM orders o, customers c
      WHERE o.customer_id = c.customer_id;