XMLFOREST

Syntax

Description of xmlforest.gif follows
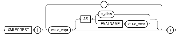
Description of the illustration ''xmlforest.gif''

Purpose

XMLForest converts each of its argument parameters to XML, and then returns an XML fragment that is the concatenation of these converted arguments.

  • If value_expr is a scalar expression, then you can omit the AS clause, and Oracle Database uses the column name as the element name.

  • If value_expr is an object type or collection, then the AS clause is mandatory, and Oracle uses the specified expression as the enclosing tag.

    You can do this by specifying c_alias, which is a string literal, or by specifying EVALNAME value_expr. In the latter case, the value expression is evaluated and the result, which must be a string literal, is used as the identifier. The identifier can be up to 4000 characters and does not have to be a column name or column reference. It cannot be an expression or null.

  • If value_expr is null, then no element is created for that value_expr.

Examples

The following example creates an Emp element for a subset of employees, with nested employee_id, last_name, and salary elements as the contents of Emp:

SELECT XMLELEMENT("Emp", 
   XMLFOREST(e.employee_id, e.last_name, e.salary))
   "Emp Element"
   FROM employees e WHERE employee_id = 204;

Emp Element
----------------------------------------------------------------
<Emp>
  <EMPLOYEE_ID>204</EMPLOYEE_ID>
  <LAST_NAME>Baer</LAST_NAME>
  <SALARY>10000</SALARY>
</Emp>

Refer to the example for XMLCOLATTVAL to compare the output of these two functions.