The CREATE
FUNCTION
statement creates or replaces a standalone function or a call specification.
A standalone function is a function (a subprogram that returns a single value) that is stored in the database.
Note:
A standalone function that you create with theCREATE
FUNCTION
statement differs from a function that you declare and define in a PL/SQL block or package. For information about the latter, see "Function Declaration and Definition".A call specification declares a Java method or a third-generation language (3GL) subprogram so that it can be invoked from PL/SQL. You can also use the SQL CALL
statement to invoke such a method or subprogram. The call specification tells the database which Java method, or which named function in which shared library, to invoke when an invocation is made. It also tells the database what type conversions to make for the arguments and return value.
Note:
To be callable from SQL statements, a stored function must obey certain rules that control side effects. See "Subprogram Side Effects".To create or replace a standalone function in your schema, you must have the CREATE
PROCEDURE
system privilege. To create or replace a standalone function in another user's schema, you must have the CREATE
ANY
PROCEDURE
system privilege.
To invoke a call specification, you may need additional privileges, for example, EXECUTE
privileges on a C library for a C call specification.
To embed a CREATE
FUNCTION
statement inside an Oracle precompiler program, you must terminate the statement with the keyword END-EXEC
followed by the embedded SQL statement terminator for the specific language.
See Also:
For more information about such prerequisites:See:
Re-creates the function if it exists, and recompiles it.
Users who were granted privileges on the function before it was redefined can still access the function without being regranted the privileges.
If any function-based indexes depend on the function, then the database marks the indexes DISABLED
.
Name of the schema containing the function. Default: your schema.
Name of the function to be created.
Note:
If you plan to invoke a stored subprogram using a stub generated by SQL*Module, then the stored subprogram name must also be a legal identifier in the invoking host 3GL language, such as Ada or C.For datatype
, specify the data type of the return value of the function. The return value can have any data type supported by PL/SQL.
Note:
Oracle SQL does not support invoking functions withBOOLEAN
parameters or returns. Therefore, for SQL statements to invoke your user-defined functions, you must design them to return numbers (0 or 1) or character strings ('TRUE
' or 'FALSE
').The data type cannot specify a length, precision, or scale. The database derives the length, precision, or scale of the return value from the environment from which the function is called.
If the return type is ANYDATASET
and you intend to use the function in the FROM
clause of a query, then you must also specify the PIPELINED
clause and define a describe method (ODCITableDescribe
) as part of the implementation type of the function.
You cannot constrain this data type (with NOT
NULL
, for example).
See Also:
Chapter 3, "PL/SQL Data Types," for information about PL/SQL data types
Oracle Database Data Cartridge Developer's Guide for information about defining the ODCITableDescribe
function
Specifies the AUTHID
property of the function. For information about the AUTHID
property, see "Invoker's Rights and Definer's Rights (AUTHID Property)".
Indicates that the function returns the same result value whenever it is called with the same values for its parameters.
You must specify this keyword if you intend to invoke the function in the expression of a function-based index or from the query of a materialized view that is marked REFRESH
FAST
or ENABLE
QUERY
REWRITE
. When the database encounters a deterministic function in one of these contexts, it attempts to use previously calculated results when possible rather than reexecuting the function. If you subsequently change the semantics of the function, then you must manually rebuild all dependent function-based indexes and materialized views.
Do not specify this clause to define a function that uses package variables or that accesses the database in any way that might affect the return result of the function. The results of doing so are not captured if the database chooses not to reexecute the function.
These semantic rules govern the use of the DETERMINISTIC
clause:
You can declare a schema-level subprogram DETERMINISTIC
.
You can declare a package-level subprogram DETERMINISTIC
in the package specification but not in the package body.
You cannot declare DETERMINISTIC
a private subprogram (declared inside another subprogram or inside a package body).
A DETERMINISTIC
subprogram can invoke another subprogram whether the called program is declared DETERMINISTIC
or not.
See Also:
Oracle Database Data Warehousing Guide for information about materialized views
Oracle Database SQL Language Reference for information about function-based indexes
Indicates that the function can run from a parallel execution server of a parallel query operation. The function must not use session state, such as package variables, as those variables are not necessarily shared among the parallel execution servers.
Use the optional PARTITION
argument
BY
clause only with a function that has a REF
CURSOR
data type. This clause lets you define the partitioning of the inputs to the function from the REF
CURSOR
argument.
Partitioning the inputs to the function affects the way the query is parallelized when the function is used as a table function in the FROM
clause of the query. ANY
indicates that the data can be partitioned randomly among the parallel execution servers. Alternatively, you can specify RANGE
or HASH
partitioning on a specified column list.
Note:
You can partition weak cursor variable arguments to table functions only withANY
, not with RANGE
or HASH
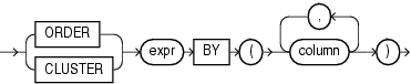
.The optional streaming_clause
lets you order or cluster the parallel processing by a specified column list.
ORDER
BY
indicates that the rows on a parallel execution server must be locally ordered.
CLUSTER
BY
indicates that the rows on a parallel execution server must have the same key values as specified by the column_list
.
expr
identifies the REF
CURSOR
parameter name of the table function on which partitioning was specified, and on whose columns you are specifying ordering or clustering for each slave in a parallel query execution.
The columns specified in all of these optional clauses refer to columns that are returned by the REF
CURSOR
argument of the function.
See Also:
Oracle Database Data Cartridge Developer's Guide for information about using parallel table functionsInstructs the database to return the results of a table function iteratively. A table function returns a collection type (a nested table or varray). You query table functions by using the TABLE
keyword before the function name in the FROM
clause of the query. For example:
SELECT * FROM TABLE(function_name(...))
the database then returns rows as they are produced by the function.
If you specify the keyword PIPELINED
alone (PIPELINED
IS
...), then the PL/SQL function body must use the PIPE
keyword. This keyword instructs the database to return single elements of the collection out of the function, instead of returning the whole collection as a single value.
You can specify the PIPELINED
USING
implementation_type
clause to predefine an interface containing the start, fetch, and close operations. The implementation type must implement the ODCITable
interface and must exist at the time the table function is created. This clause is useful for table functions implemented in external languages such as C++ and Java.
If the return type of the function is ANYDATASET
, then you must also define a describe method (ODCITableDescribe
) as part of the implementation type of the function.
See Also:
"Chaining Pipelined Table Functions for Multiple Transformations"
Oracle Database Data Cartridge Developer's Guide for information about using pipelined table functions
Identifies this function as an aggregate function, or one that evaluates a group of rows and returns a single row. You can specify aggregate functions in the select list, HAVING
clause, and ORDER
BY
clause.
When you specify a user-defined aggregate function in a query, you can treat it as an analytic function (one that operates on a query result set). To do so, use the OVER
analytic_clause
syntax available for SQL analytic functions. See Oracle Database SQL Language Reference for syntax and semantics of analytic functions.
In the USING
clause, specify the name of the implementation type of the function. The implementation type must be an ADT containing the implementation of the ODCIAggregate
subprograms. If you do not specify schema
, then the database assumes that the implementation type is in your schema.
Restriction on AGGREGATE USING If you specify this clause, then you can specify only one input argument for the function.
See Also:
Oracle Database Data Cartridge Developer's Guide for more information about user-defined aggregate functions
Oracle Database Data Cartridge Developer's Guide for information about ODCI subprograms
The required executable part of the function and, optionally, the exception-handling part of the function.
The optional declarative part of the function. Declarations are local to the function, can be referenced in body
, and cease to exist when the function completes execution.
Maps a C procedure or Java method name, parameter types, and return type to their SQL counterparts. In java_declaration
, string
identifies the Java implementation of the method. In c_declaration
, LIBRARY
lib_name
identifies a library created by the "CREATE LIBRARY Statement".
See Also:
Oracle Database Java Developer's Guide to learn how to write Java call specifications
Oracle Database Advanced Application Developer's Guide to learn how to write C call specifications
Deprecated way of declaring a C function, supported only for backward compatibility. Oracle recommends that you use the LANGUAGE
C
syntax.
Creating a Function: Examples This statement creates the function get_bal
on the sample table oe.orders
:
CREATE FUNCTION get_bal(acc_no IN NUMBER) RETURN NUMBER IS acc_bal NUMBER(11,2); BEGIN SELECT order_total INTO acc_bal FROM orders WHERE customer_id = acc_no; RETURN(acc_bal); END; /
The get_bal
function returns the balance of a specified account.
When you invoke the function, you must specify the argument acc_no
, the number of the account whose balance is sought. The data type of acc_no
is NUMBER
.
The function returns the account balance. The RETURN
clause of the CREATE
FUNCTION
statement specifies the data type of the return value to be NUMBER
.
The function uses a SELECT
statement to select the balance
column from the row identified by the argument acc_no
in the orders
table. The function uses a RETURN
statement to return this value to the environment in which the function is called.
The function created in the preceding example can be used in a SQL statement. For example:
SELECT get_bal(165) FROM DUAL; GET_BAL(165) ------------ 2519
The hypothetical following statement creates a PL/SQL standalone function get_val
that registers the C subprogram c_get_val
as an external function. (The parameters have been omitted from this example.)
CREATE FUNCTION get_val
( x_val IN NUMBER,
y_val IN NUMBER,
image IN LONG RAW )
RETURN BINARY_INTEGER AS LANGUAGE C
NAME "c_get_val"
LIBRARY c_utils
PARAMETERS (...);
Creating Aggregate Functions: Example The next statement creates an aggregate function called SecondMax
to aggregate over number values. It assumes that the ADT SecondMaxImpl
subprograms contains the implementations of the ODCIAggregate
subprograms:
CREATE FUNCTION SecondMax (input NUMBER) RETURN NUMBER PARALLEL_ENABLE AGGREGATE USING SecondMaxImpl;
See Also:
Oracle Database Data Cartridge Developer's Guide for the complete implementation of type and type body forSecondMaxImpl
Use such an aggregate function in a query like this statement, which queries the sample table hr.employees
:
SELECT SecondMax(salary) "SecondMax", department_id FROM employees GROUP BY department_id HAVING SecondMax(salary) > 9000 ORDER BY "SecondMax", department_id; SecondMax DEPARTMENT_ID --------- ------------- 9450 100 13670.74 50 14175 80 18742.5 90
Package Procedure in a Function: Example This statement creates a function that uses a DBMS_LOB.GETLENGTH
procedure to return the length of a CLOB
column:
CREATE OR REPLACE FUNCTION text_length(a CLOB) RETURN NUMBER DETERMINISTIC IS BEGIN RETURN DBMS_LOB.GETLENGTH(a); END;
"Function Declaration and Definition" for information about creating a function in a PL/SQL block
See Also:
Oracle Database SQL Language Reference for information about the CALL
statement
Oracle Database Advanced Application Developer's Guide for information about restrictions on user-defined functions that are called from SQL statements
Oracle Database Advanced Application Developer's Guide for more information about call specifications